1,1-二基-2-苦味酰肼的制备方法_凯茵工业添加剂
背景及概述[1] 1,1-二基-2-苦味酰肼可用作医药合成中间体。如果吸入1,1-二基-2-苦味酰肼,请将患者…
[1,1′:4′,1″]三联-3,3″,5,5″-四甲酸的应用_凯茵工业添加剂
背景及概述[1][2] [1,1′:4′,1″]三联-3,3″,5,5″-四甲酸为芳香烃类衍生物,可用于制备各…
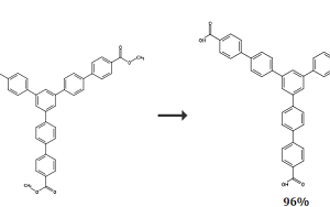
1,3,5-三(4′-羧基[1,1′-联]-4-基)的制备方法_凯茵工业添加剂
背景及概述[1] 1,3,5-三(4′-羧基[1,1′-联]-4-基)属于多联多酸单体,是一种金属-有机框架材…
1,1′-二(二膦基)二茂铁二氯化钯ii的制备_凯茵工业添加剂
概述[1] 1,1'-二(二膦基)二茂铁二氯化钯ii作为催化剂广泛应用于有机化工、医药化工及液晶材料…



