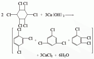
1,2,4-三氯 1,2,4-trichlorobenzene

结构式 物竞编号 03cw 分子式 c6h3cl3 分子量 181 标签 三氯 编号系统 物性数据 毒理学数据…

联系我们

联系我们

181-3619-1160

在线咨询: QQ交谈

邮箱: 34331943@QQ.com

工作时间:周一至周五,9:00-17:30,节假日休息

关注微信
微信扫一扫关注我们

微信扫一扫关注我们

返回顶部
首页
找样品
产品
联系
搜索