n-[6-(2,5-二氢-2,5-二氧代-1h-吡咯-1-基)-1-氧代己基]-l-缬氨酰-n5-(氨基甲酰基)-n-[4-(羟甲基)基]-l-鸟氨酰胺的制备_凯茵工业添加剂

n-[6-(2,5-二氢-2,5-二氧代-1h-吡咯-1-基)-1-氧代己基]-l-缬氨酰-n5-(氨基甲酰基)-n-[4-(羟甲基)基]-l-鸟氨酰胺的制备_凯茵工业添加剂

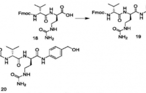
背景及概述[1] n-[6-(2,5-二氢-2,5-二氧代-1h-吡咯-1-基)-1-氧代己基]-l-缬氨酰-…

联系我们

联系我们

181-3619-1160

在线咨询: QQ交谈

邮箱: 34331943@QQ.com

工作时间:周一至周五,9:00-17:30,节假日休息

关注微信
微信扫一扫关注我们

微信扫一扫关注我们

返回顶部
首页
找样品
产品
联系
搜索