
结构式
| 物竞编号 | 01fs |
|---|---|
| 分子式 | c7h6o3 |
| 分子量 | 138.12 |
| 标签 |
邻羟基甲酸, 2-羟基甲酸, 柳酸, 沙利西酸, o-hydroxybenzoic acid, 2-hydroxy benzoic acid, 芳香族羧酸及其衍生物, 酸性溶剂 |
编号系统
cas号:69-72-7
mdl号:mfcd00002439
einecs号:200-712-3
rtecs号:vo0525000
brn号:774890
pubchem号:24899681
物性数据
1. 性状:白色针状结晶或单斜棱晶,有特殊的酚酸味。在空气中稳定,但遇光渐渐改变颜色。
2. 相对密度(g/ml,20/4℃):1.443
3. 相对蒸汽密度(g/ml,空气=1):4.8
4. 熔点(ºc):158~161
5. 沸点(ºc,2.67kpa):210(2666pa)
6. 相对密度(25℃,4℃):0.9438159
7. 折射率(n20d):1.565
8. 闪点(ºc):157
9. 气相标准燃烧热(焓)(kj·mol-1):-3117.2
10. 气相标准声称热(焓)( kj·mol-1) :-494.8
11. 蒸气压(114ºc):1mmhg
12. 晶相相标准燃烧热(焓)(kj·mol-1):3022.1
13. 晶相标准声称热(焓)( kj·mol-1):-589.9
14. 临界温度(ºc):不确定
15. 临界压力(kpa):不确定
16. 油水(辛醇/水)分配系数的对数值:不确定
17. 爆炸上限(%,v/v):不确定
18. 爆炸下限(%,v/v):不确定
19. 溶解性:微溶于冷水,易溶于热水,乙醇,和丙酮,溶于热。1克本品能溶于460毫升水,15毫升热水,2.7毫升醇,3毫升丙酮,42毫升氯仿,3毫升醚,135毫升,52毫升松节油。
毒理学数据
1、半数致死量(小鼠,静脉)lc50:500mg/kg
2、本品刺激皮肤、黏膜,因能与机体组织中的蛋白质发生反应,所以有腐蚀作用。大量服用能引起呕吐、腹泻、腹痛、呼吸困难、酸中毒症和兴奋。还可引起披榛、尿中含蛋白的多尿症。操作人员应穿戴劳动保护用具。
生态学数据
本品对水体稍有危害。
分子结构数据
1、 摩尔折射率:35.06
2、 摩尔体积(cm3/mol):100.3
3、 等张比容(90.2k):284.4
4、 表面张力(dyne/cm):64.4
5、 介电常数:未确定
6、 偶极距(10-24cm3):
7、 极化率:13.90
计算化学数据
1.疏水参数计算参考值(xlogp):无
2.氢键供体数量:2
3.氢键受体数量:3
4.可旋转化学键数量:1
5.互变异构体数量:4
6.拓扑分子极性表面积57.5
7.重原子数量:10
8.表面电荷:0
9.复杂度:133
10.同位素原子数量:0
11.确定原子立构中心数量:0
12.不确定原子立构中心数量:0
13.确定化学键立构中心数量:0
14.不确定化学键立构中心数量:0
15.共价键单元数量:1
性质与稳定性
1. 在空气中稳定。见光渐渐变色。有毒。
2. 常压下急剧加热分解为酚和二氧化碳。1g水杨酸可分别溶于460ml水、15ml沸水、2.7ml乙醇、3ml丙酮、3ml、42ml氯仿、135ml、52ml松节油、约60ml甘油和80ml石油醚中。加入磷酸钠、硼砂等能增加水杨酸在水中的溶解度。水杨酸水溶液的ph值为2.4。水杨酸与三氯化铁水溶液生成特殊的紫色。
3. 本品刺激皮肤、黏膜,因能与机体组织中的蛋白质发生反应,所以有腐蚀作用。能使角膜增殖后剥离。其毒性比酚弱,但大量服用能引起呕吐、腹泻、头痛、出汗、皮疹、呼吸频促、酸中毒症和兴奋。严重时呼吸困难、虚脱,终致心脏麻痹而死。由于水杨酸从肾脏排出,常引起急性肾炎。家兔经口ld50:1.3mg/kg。操作人员应穿戴劳动保护用具。
4. 存在于烤烟烟叶、白肋烟烟叶、香料烟烟叶、烟气中。
5. 在水杨树中有微量存在。
贮存方法
1. 应贮存于阴凉、通风、干燥的库房中,远离火源、热源,与易爆品、氧化剂分开存放。
2. 包装采用内衬塑料袋,外套麻袋或聚丙烯编织袋或纤维板桶包装。
3. 与爆炸物、氧化剂隔离。避光保存。
合成方法
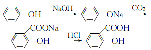
1. 酚与氢氧化钠反应生成酚钠,蒸馏脱水后,通二氧化碳进行羧基化反应,制得水杨酸钠盐,再用酸化,而得粗品。粗品经升华精制得成品。原料消耗定额:酚(98%)704kg/t、烧碱(95%)417kg/t、(95%)500kg/t、二氧化碳(99%)467kg/t。该法分为常压法和中压法。(1)常压法 将酚与50%的氢氧化钠溶液配制成酚钠,使游离碱在1%以内,减压脱水后,加酚作溶剂共沸脱水。然后酚钠在溶剂酚中通入干燥的二氧化碳羧化,再用酸化即得成品。



将酚与50%氢氧化钠按1:1.02(mol)配比加入反应器中进行反应脱水,控制游离碱≤1%,减压脱水后,再加酚作溶剂共沸脱水。然后将酚钠在酚中通入干燥的二氧化碳气体,进行羧化反应3h后,第二次通入二氧化碳2h,再减压回收酚,即羧化完毕。再向上述水杨酸钠溶液中,加入水溶解成50%的溶液,在搅拌下加入7%-8%的酸化至ph值1-2,然后冷却过滤,真空干燥,即得水杨酸粗品,再将粗品在减压下升华,可得含量为99%的成品水杨酸,收率50%-70%。(2)中压法 仍以酚为原料,先制成酚钠,在中压下用二氧化碳进行羧基化,生成碳酸酚酯,然后加压进行分子重排,生成水杨酸钠,再经酸化后处理制得水杨酸。
将酚用50%液碱中和,真空干燥,然后将釜温冷却至100℃,慢慢通入干燥的二氧化碳,当釜内压力达0.7-0.8mpa时,停止通二氧化碳,此时生成碳酸酚酯钠,然后在130-140℃下发生分子内重排异构化,变为水杨羧钠,再用酸化,得水杨酸粗品。将粗品在减压下升华,即得水杨酸精品,含量99%,收率达98%以上。消耗定额(kg/t):酚(98%)704,烧碱(95%)417,(95%)500,二氧化碳(99%)467。 (3)制法 酚与氢氧化钠反应生成酚钠盐,然后再与二氧化碳合成邻羟基甲酸钠,经酸化制得水杨酸:
粗品用水溶解后经活性炭脱色,再重结晶提纯。(4)将相同物质量的酚和50%的氢氧化钠在105~130℃下反应生成酚钠,控制游离碱1%以内。反应结束后,减压脱水,再用酚为溶剂共沸脱水。冷却至100℃后,通入干燥的二氧化碳进行3h羧化反应,温度由128℃升至200℃。待温度下降后,回收溶剂酚,2~3h后,再通入二氧化碳羧化2h,减压回收酚。( 羧化的另一种方法是在140~180℃通二氧化碳,控制反应压力为0.7~0.8mpa进行羧化反12h。 )羧化反应结束后,加水溶解水杨酸钠,调成50%的溶液,边搅拌边加入7%~8%的溶液,使ph值达1~2,冷却、过滤、甩干,用水洗涤数次,甩干后,再用蒸馏水加热溶解,加入少
量活性炭,煮沸,趁热过滤,滤液冷却重复用蒸馏水溶解,过滤、甩干数次,即可得纯品水杨酸。所得水杨酸粗品也可用减压升华精制。过程反应式为:
2. 烟草:or,44;or,26;fc,9;fc,54;bu,26;fc,40。
用途
1、主要作为医药工业的原料,用于制备阿斯匹林、水杨酸钠、水杨酰胺、止痛灵、水杨酸酯、血防-67等药物。染料工业用于制备媒染纯黄、直接棕3gn、酸性铬黄等。还用作橡胶硫化延缓剂和消毒防腐剂等。
2、用作环氧树脂固化的促进剂,也可作为防腐剂。可用来制备水杨酸甲酯、水杨酸乙酯等合成香料。染料工业用作制备直接染料及酸性染料等的原料。还可用作橡胶防焦剂、消毒剂等。
3、碱量法及碘量法滴定的标准。荧光指示剂。络合指示剂。
4、本品在橡胶工业中用作防焦剂及生产紫外线吸收剂和发泡剂等。
5、用作荧光指示剂、配合指示剂、配合掩蔽剂。钛、锆、钨等离子的显色剂及防腐剂。
6、水杨酸在某些弱酸性电解液中作为添加剂,也可用作电镀或化学镀的络合剂。
7、化妆品防腐剂。主要用于花露水、痱子水、奎宁头水等水类化妆品。除防腐杀菌作用外,还有祛除汗臭、止痒消肿、止痛消炎等功能。
8. 少量用于配制动物香型香精等日用香精。微量用于食品中,起防腐剂的作用。是医药工业重要的原料。
扩展阅读https://www.newtopchem.com/archives/category/products/page/170扩展阅读https://www.newtopchem.com/archives/44169扩展阅读https://www.bdmaee.net/bismuth-2-ethylhexanoate-2/扩展阅读https://www.newtopchem.com/archives/43950扩展阅读https://www.newtopchem.com/archives/873扩展阅读https://www.bdmaee.net/wp-content/uploads/2022/08/63.jpg扩展阅读https://www.newtopchem.com/archives/44876扩展阅读https://www.bdmaee.net/polyurethane-thermal-delay-catalyst-nt-cate-129-heat-sensitive-metal-catalyst/扩展阅读https://www.newtopchem.com/archives/1691扩展阅读https://www.newtopchem.com/archives/1820



微信扫一扫打赏
支付宝扫一扫打赏
