
结构式
| 物竞编号 | 029s |
|---|---|
| 分子式 | c6h5cl2n |
| 分子量 | 162 |
| 标签 |
芳香族含氮化合物及其衍生物 |
编号系统
cas号:95-76-1
mdl号:mfcd00007768
einecs号:202-448-4
rtecs号:bx2625000
brn号:636837
pubchem号:24867396
物性数据
1.性状:褐色针状结晶。[1]
2.熔点(℃):70~72.5[2]
3.沸点(℃):272[3]
4.相对密度(水=1):1.33[4]
5.相对蒸气密度(空气=1):5.59[5]
6.饱和蒸气压(kpa):0.13(80.5℃)[6]
7.临界压力(mpa):4.1[7]
8.辛醇/水分配系数:2.69[8]
9.闪点(℃):166(oc)[9]
10.引燃温度(℃):265[10]
11.爆炸上限(%):7.2(179℃)[11]
12.爆炸下限(%):2.8(153℃)[12]
13.溶解性:微溶于水,溶于多数有机溶剂。[13]
毒理学数据
1.急性毒性[14] ld50:545mg/kg(大鼠经口)
2.刺激性[15]
家兔经皮:2mg(24h),重度刺激。
家兔经眼:250μg(24h),重度刺激。
3.致突变性[16] 微生物致突变:构巢曲霉200mg/l。姐妹染色单体交换:人淋巴细胞125μmol/l。
生态学数据
1.生态毒性[17]
lc50:7.26~8.95mg/l(96h)(黑头呆鱼,36d);<0.1mg/l(96h)(水蚤)
2.生物降解性 暂无资料
3.非生物降解性[18] 空气中,当羟基自由基浓度为5.00×105个/cm3时,降解半衰期为17h(理论)。
4.生物富集性[19] bcf:30.2(斑马鱼,接触时间10h)
分子结构数据
1、摩尔折射率:40.27
2、摩尔体积(cm3/mol):115.6
3、等张比容(90.2k):304.8
4、表面张力(dyne/cm):48.3
5、极化率(10-24cm3):15.96
计算化学数据
1.疏水参数计算参考值(xlogp):无
2.氢键供体数量:1
3.氢键受体数量:1
4.可旋转化学键数量:0
5.互变异构体数量:无
6.拓扑分子极性表面积26
7.重原子数量:9
8.表面电荷:0
9.复杂度:97.1
10.同位素原子数量:0
11.确定原子立构中心数量:0
12.不确定原子立构中心数量:0
13.确定化学键立构中心数量:0
14.不确定化学键立构中心数量:0
15.共价键单元数量:1
性质与稳定性
1.本品有毒。能引起呼吸系统、神经系统及造血系统的病变。小鼠灌胃ld501000mg/kg,大鼠灌胃ld50700mg/kg。大鼠的嗅觉阈0.047mg/m3;眼睛光感低0.025mg/kg。设备应密闭,防止跑、冒、滴、漏。操作时应穿戴防护用具,避免与人体直接接触。操作场所空气中高容许浓度为0.05mg/m3。
2.稳定性[20] 稳定
3.禁配物[21] 酸类、酰基氯、酸酐、强氧化剂
4.避免接触的条件[22] 受热
5.聚合危害[23] 不聚合
6.分解产物[24] 氯化氢
贮存方法
储存注意事项[25] 储存于阴凉、通风的库房。远离火种、热源。包装密封。应与氧化剂、酸类、食用化学品分开存放,切忌混储。配备相应品种和数量的消防器材。储区应备有合适的材料收容泄漏物。
合成方法
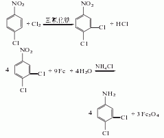
1.以无水三氯化铁作催化剂,向105℃的熔融状态的对硝基氯通入氯气,得3,4-二氯硝基。再在回流状态下与铁粉、甲酸和水进行还原反应,得到3,4-二氯胺。3,4-二氯硝基也可以由邻二氯硝化而得。在与铁粉的还原反应中可用冰醋酸代替甲酸。另一种还原方法是催化加氢法。
2.其制备方法是在反应釜中加入对氯硝基、无水三氯化铁催化剂,于100~110℃通入氯气,当测定氯化反应物凝固点到30~31℃时即为反应终点。将此物移至还原釜,再加入硫代钠(以消除反应物中剩余氯的影响)、甲酸,加热到100℃(回流状态)慢慢加入铁粉(约4~5h加完),而后继续保持回流反应,当观察不到硝基存在时即为反应终点。加入3,4-二氯胺产量5~6倍的氯,搅拌0.5~1.0 h,经冷却、过滤并以少量氯洗涤滤渣,所得滤液为3,4-二氯胺的氯溶液,加热脱氯得3,4-二氯胺。

也可以用3,4-二氯硝基催化加氢而制得。在高压釜中加入3,4-二氯硝基,并加入兰尼镍催化剂,工业乙醇为溶剂,用氮气赶高压系统3次,氢气赶3次,然后充氢气达压力为4 mpa,同时升温至60~70℃进行反应,直到不吸收氢气为止,然后冷却经后处理可得成品。
此外,也可用邻二氯为原料,经硝化得3,4-二氯硝基,再进一步还原得成品。国外大部分企业用此法生产3,4-二氯胺。
用途
1.用于合成c.i.分散红153(分散红g-s)和c.i.分散红152等。也是农药敌草隆和灭草灵等除草剂的中间体。
2.用于染料中间体、农药中间体及生物组分中间体。[26]
扩展阅读https://www.bdmaee.net/cyclohexylamine-series-products-2/扩展阅读https://www.newtopchem.com/archives/44066扩展阅读https://www.cyclohexylamine.net/2-methylcyclohexylamine/扩展阅读https://www.newtopchem.com/archives/45010扩展阅读https://www.bdmaee.net/catalyst-a400/扩展阅读https://www.bdmaee.net/wp-content/uploads/2022/08/130-1.jpg扩展阅读https://www.bdmaee.net/cas-753-73-1/扩展阅读https://www.bdmaee.net/1-methylimidazole/扩展阅读https://www.bdmaee.net/zinc-octoate-2/扩展阅读https://www.newtopchem.com/archives/598



微信扫一扫打赏
支付宝扫一扫打赏
