吗啉_甲基吗啉_吗啉信息网 吗啉百科 (2s-cis)-(+)-2,3-二氢-3-羟基-2-(4-甲氧基)-1,5-并硫氮杂卓-4(5h)-酮的制备_凯茵工业添加剂

(2s-cis)-(+)-2,3-二氢-3-羟基-2-(4-甲氧基)-1,5-并硫氮杂卓-4(5h)-酮的制备_凯茵工业添加剂

广告位

背景及概述[1]

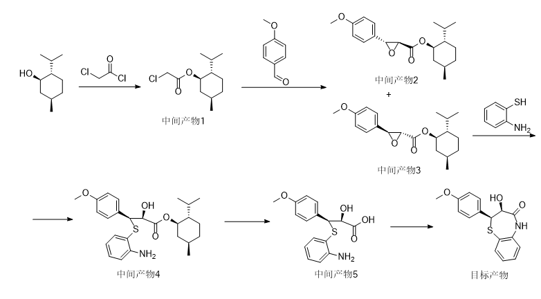
(2s-cis)-(+)-2,3-二氢-3-羟基-2-(4-甲氧基)-1,5-并硫氮杂卓-4(5h)-酮为地尔硫卓合成的关键中间体。目前合成地尔硫卓的路线主要是先合成(2s-cis)-(+)-2,3-二氢-3-羟基-2-(4-甲氧基)-1,5-并硫氮杂卓-4(5h)-酮,再通过n-烷基化、o-乙酰化两步反应得到产品。地尔硫卓(diltiazem) 化学名为顺-(+)-5-[(2-二甲基氨基)乙基]-2-(4-甲氧基基)-3-乙酰氧基-2,3-二氢-1,5-并硫氮杂卓-4-(5h)-酮盐酸盐,属于选择性钙通道阻滞剂。地尔硫卓是并硫氮卓类钙拮抗剂,初由日本田边公司研发,并于七十年代初在日本首先上市,后相继以地尔硫卓、硫氮卓酮、惜尔心等名称在美国、日本、法国、西班牙等国上市。

制备[1]

1l反应瓶中加入l-薄荷醇62.5g,加入n,n-二甲氨基吡啶(dmap)0.5g,200ml二氯甲烷,搅拌溶解。加入碳酸钠63.0g,控制温度25℃~30℃下滴加氯乙酰氯56.5g,滴完保温25℃~30℃搅拌反应2h。反应结束后加入400ml水,搅拌分液后有机层加入无水钠10g干燥,过滤后滤液减压浓缩至干,得中间产物1,无需纯化处理直接用于下一步反应。

1l反应瓶中加入甲醇钠(30%甲醇溶液)108g,甲醇100ml,降温至-5℃~0℃。上述实施例1至3任一所得中间产物1中加入大茴香醛49g和甲醇100ml,搅拌溶解均匀后慢慢滴入反应瓶中,滴加控制温度-5℃~0℃,滴完保温0℃~5℃搅拌反应2h。反应结束后反应液慢慢倒入700ml冰水中,搅拌0.5h后过滤,滤饼加入400ml,搅拌溶解后分去水层,有机层无水钠10g干燥后过滤,滤液中搅拌下慢慢加入正庚烷800ml,大量固体析出,过滤,烘干得中间产物3,得量66.2g,收率(以大茴香醛计)55.3%,光学纯度99.1%。

500ml反应瓶中加入66.2g上述实施例4至6任一所得的中间产物3,300ml,升温至105℃,到达温度后快速滴加邻氨基硫酚26.0g,滴完110℃~112℃回流反应4h。反应结束后反应液降温至5℃以下,过滤,滤饼少量冷洗涤,烘干得中间产物4,得量71.3g,收率(以中间产物3计)78.2%。

500ml反应瓶中加入71.3g上述实施例7至9任一所得的中间产物4,加入5%氢氧化钠水溶液200ml,升温至40℃搅拌反应2h,反应结束后用6mol/l盐酸调节ph至3.0~3.5,大量固体析出,过滤,滤饼水洗后中间产物5湿品直接用于下步反应。

1l反应瓶中加入上述中间产物5湿品,500ml,升温至50℃溶解,分去下层水层,有机层加入甲磺酸10μl,升温至110℃~112℃回流分水反应8h。反应结束后反应液降温至0℃保温析晶4h,过滤,滤饼少量冰洗涤后刮出烘干,得产品黄色固体40.5g,纯度99.2%,水解环合两步收率合计86.3%。

主要参考资料

[1] [中国发明,中国发明授权] cn201511010934.4 地尔硫卓手性中间体的选择性合成方法

广告位
本文来自网络,不代表吗啉_甲基吗啉_吗啉信息网立场,转载请注明出处:https://www.morpholine.vip/15131.html

作者: admin

上一篇
下一篇
联系我们

联系我们

181-3619-1160

在线咨询: QQ交谈

邮箱: 34331943@QQ.com

工作时间:周一至周五,9:00-17:30,节假日休息

关注微信
微信扫一扫关注我们

微信扫一扫关注我们

返回顶部
首页
找样品
产品
联系
搜索