背景及概述[1-2]
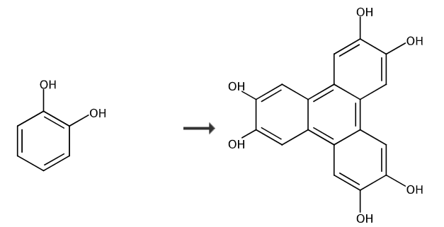
2,3,6,7,10,11-六羟基三简称hhhp,可由邻二酚一步制备得到。有文献报道2,3,6,7,10,11-六羟基三可用于制备金属有机骨架(mofs)。金属有机骨架是金属离子和有机配体通过配位作用形成的一类材料。与传统的无机多孔材料相比,mof具有更高的孔隙率、更大的比表面积、可调的孔道结构和优异的结构稳定性,被广泛应用于化学储能领域。
制备[1]

使用超声波使邻二酚(20g,0.182mol)和六水合物/氯化铁(iii)(196.8g,0.728mol)反应24小时。反应完成后,将混合物用稀盐酸和水洗涤,并用加热的环戊酮萃取,得到2,3,6,7,10,11-六羟基三。1h nmr(600mhz,cdcl3)δ7.82(s,6h),5.35(s,6h)
应用[2]
2,3,6,7,10,11-六羟基三用于制备球型堆积状π-d共轭fe-hhtp, 基于该材料制备的电极具备一定的氧化还原性质和电化学储能性质。
1.将2,3,6,7,10,11-六羟基三(12.8mg,0.04mmol)溶于4ml dmf/h2o(v:v=1:1)的混合溶液中,超声(120w,53khz)3min,形成均一溶液;
2.将fe(no3)3·9h2o(16.2mg,0.04mmol)溶于12ml dmf/h2o(v:v=1:1)的混合溶液中,超声(120w,53khz)5min,形成均一溶液;
3.在25ml的反应釜内衬中加入12ml fe(no3)3·9h2o溶液并搅拌(六台联用搅拌器至出现漩涡)5min;
4.在搅拌条件下,将4ml 2,3,6,7,10,11-六羟基三溶液逐滴加入到步骤3的溶液中(3min内滴加完毕);
5.将反应釜置于鼓风干燥箱中由室温上升至110℃,反应12h,待反应结束,冷却至室温,将所得产物用乙醇洗涤,于12000rpm/10min的条件下离心3次得到的球型堆积状fe-hhtp。
参考文献
[1] from pct int. appl., 2017131406, 03 aug 2017
[2] [中国发明] cn201910311069.9 不同形貌π-d共轭fe-hhtp金属有机框架及相关电极的制备



微信扫一扫打赏
支付宝扫一扫打赏
