背景及概述[1]
(s)-n-缩水甘油邻二甲酰亚胺又叫s-缩水甘油邻二甲酰亚胺。(s)-n-缩水甘油邻二甲酰亚胺是制备利伐沙班、新型抗生素利奈唑胺、抗真菌的硫代噁唑烷酮、噁唑烷二酮的重要中间体。
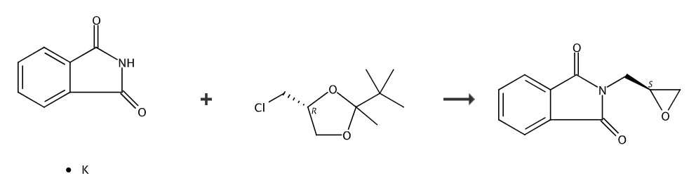
制备[1]
步骤一、n-(s-2,2-二甲基-1,3-二氧戊环-4-)甲基邻二甲酰亚胺的制备
向接有搅拌、温度计、冷凝管的1升四口烧瓶中,加入250克n,n-二甲基甲酰胺(dmf)、37.0克(0.20摩尔)邻二甲酰亚胺钾、33.3克(0.22摩尔)r-2,2-二甲基-4-氯甲基-1,3-二氧戊环、0.5克碘化钾,加热,并保持內温80-85℃之间搅拌4小时。冷却至20℃,过滤,用50克dmf洗涤滤饼,合并滤液。减压蒸馏回收dmf,剩余物用80克甲基叔丁醚重结晶,得到49.7克n-(s-2,2-二甲基-1,3-二氧戊环-4-)甲基邻二甲酰亚胺,收率95.3%,hplc纯度为99.7%。
步骤二、s-缩水甘油邻二甲酰亚胺的制备
向接有搅拌、温度计的500毫升四口瓶中,加入200克1,2-、26.5克(0.10摩尔)n-(s-2,2-二甲基-1,3-二氧戊环-4-)甲基邻二甲酰亚胺、25克40%氢溴酸,10-15℃之间搅拌反应4小时。分层,水层用1,2-萃取3次,每次20克,合并有机相,将有机相转移至恒压低液漏斗中。在另一个烧瓶中,加入30克(0.15摩尔)27%甲醇钠甲醇溶液,保持內温0-5℃之间滴加所得有机相,滴毕,10-15℃搅拌反应3小时。加入200克冰水,分层,水层用1,2-萃取2次,每次20克,合并有机相,蒸馏回收1,2-,剩余物用50克甲基叔丁醚重结晶,得到19.0克s-缩水甘油邻二甲酰亚胺,收率93.6%,hplc纯度为99.9%。
参考文献
[1] [中国发明] cn201710653271.0 一种低成本、高纯度的s-缩水甘油邻二甲酰亚胺的合成方法




微信扫一扫打赏
支付宝扫一扫打赏
