背景及概述[1]
3-溴-2-氟腈是一种有机中间体,可由3-溴-2-氟甲酸通过两步制备得到。3-溴-2-氟腈可用作医药中间体,用于制备stk4抑制剂。
制备[1]

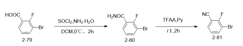
步骤1、3-溴-2-氟甲酰胺(2-80)的制备
在室温下将3-溴-2-氟甲酸(2-79,400 mg,1.83 mmol)和socl2(4.39 mg,3.66 mmol)在dcm(5 ml)中的混合物搅拌1 h,然后加入氨水(1ml)。然后将得到的混合物在室温搅拌2h。反应完成后,将所得混合物用水洗涤,并用(150ml×3)萃取。将合并的有机相在减压下浓缩,并将所得残余物通过硅胶色谱法(石油醚/= 1/1)纯化,得到中间体2-80(白色固体,300mg,75%产率)。 lcms(m/z):218 [m+h]+。
步骤2、3-溴-2-氟腈(2-81)的制备
将的3-溴-2-氟甲酰胺(2-80,260 mg,1.2 mmol),tfaa(471 mg,2.4 mmol)和吡啶(py)(474 mg,6.0 mmol)在二恶烷(5 ml)中的混合物于室温搅拌4小时。反应完成后,将所得混合物用水洗涤,并用(150ml×3)萃取。合并的有机相在减压下浓缩,所得残余物通过硅胶色谱法(石油醚/= 1/1)纯化,得到中间体2-81(白色固体,100mg,42%收率)。
应用[1]

3-溴-2-氟腈可用于制备3-(6-氨基-5-(1-氧代-1,2,3,4-四氢异喹啉-6-基)吡啶-3-基)-2-氟苄腈(i-34)。i-34是一种stk4抑制剂,stk4(也称为mst1)是一种丝氨酸-苏氨酸激酶,是hippo信号通路的一部分。stk4参与多个细胞过程,包括增殖,运输,凋亡,免疫反应和应激反应。
参考文献
[1] from pct int. appl., 2016161145, 06 oct 2016



微信扫一扫打赏
支付宝扫一扫打赏
