背景及概述[1]
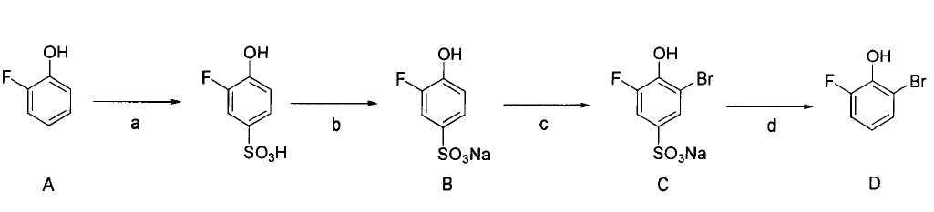
2-溴-6-氟酚又叫2-氟-6-溴酚,可用作医药合成中间体。以2-氟酚为原料,经过磺化、卤化、脱保护、可得到中间体2-氟-6-卤代酚
制备[1]
2-氟-6-溴酚的合成:

1)3-氟-4-羟基磺酸钠(b)的合成(步骤a和b,磺化反应):
a:在反应釜中加入112g(1.0mol)a,将温度升至120℃左右,30分钟内,搅拌下缓慢滴加80ml(1.5mol)98%。滴加完毕后再在120℃下反应5小时。反应结束后冷却到100℃以下。
b:向上述反应混合物中加入400ml饱和氯化钠溶液,有大量钠盐析出。完全冷却后过滤,并用10%氯化钠溶液洗涤两次,得到192.6g产物b,产率90%。
2)3-氟-6-溴-4-羟基磺酸钠(c)的合成(步骤c,卤化反应):
c:反应前将所有原料和设备进行无水处理,溴素用浓洗涤两次脱水。250ml三口瓶配机械搅拌器、温度计和分液漏斗及回流冷凝管。向烧瓶中加入171.2g(0.8mol)b、11.2g铁粉和120ml四氯化碳。搅拌并水浴加热到55℃,将温度控制在50-60℃,在4小时内滴加134.4g(0.84mol)溴素。加完后保温搅拌2小时。冷却后过滤,滤液用水、碱水、水依次洗涤,干燥后蒸去溶剂,得到199g产物c,产率85%。
3)2-氟-6-溴酚(d)的合成(步骤d,脱保护反应):
d:在250ml反应釜中加入146.5g(0.5mol)c和200ml70%溶液。在180℃下反应5小时后冷却到室温,加入200ml二氯甲烷萃取,洗涤萃取液、干燥、蒸去溶剂后得到油状产物d76.4g,产率80%。
参考文献
[1]cn200510008983.4一种经由中间体2-氟-6-卤代酚制备1,2-二烷氧基-3-氟的方法



微信扫一扫打赏
支付宝扫一扫打赏
