背景及概述[1][2]
间二氯是一种重要的有机化工原料,广泛应用于有机合成工业中,如合成2,4-二氯胺、1,2,4-三氯及广谱抗真菌药霉康唑。随着医药行业的日益发展,药物的推陈出新,高含量间二氯被用作多种药品的中间体,需求大增。特别是近年来,国际市场对高含量间二氯的需求迅猛发展,而且前国内年总产量仅1 000 t左右,远不能满足市场需求,因此该产品前景广阔。
间二氯又名1,3-二氯。无色液体。分子量147.00。熔点-24.7℃。沸点 173℃。相对密度1.2884 (20/4℃)。折射率1.5459。闪点63℃。溶于乙醇、、,不溶于水。间二氯用于有机合成。
间二氯可用作广谱抗真菌药物咪康唑的中间体,其传统合成方法有:1)间二胺与、亚硝酸钠经重氮化反应,制成重氮盐,再经氯化而成;2)间氯胺经重氮化,氯化而成,间氯胺重氮化法合成率较低、产能不高;3)间二硝基直接催化氯化法;4)氯化法,氯化法其工艺控制条件较难,且分离效率不高。其中间二胺重氮化法合成工艺复杂,已经被淘汰。
间二硝基氯化法中存在易爆炸物间二硝基,合成过程存在很大的安全 隐患。此外,间二氯的合成方法还有:氯副产回收法。化工工业上制备间二酚的生产工艺较为复杂,且生产的纯度比较低,难以符合人类生产生活的需求。
应用[3]{4}}
间二氯可用于合成农药、医药、染料和颜料的中间体。在农药方面间二氯主要用于合成杀菌剂如丙环唑、醚甲环唑、抑霉唑、己唑醇、糠苗唑、戊环唑及酰胺唑等、除草剂如解草唑、吡氟草胺、恶唑稗灵及噻唑亚胺类、三唑啉酮类化合物等新型除草剂。
在医药方面间二氯用于合成高效、安全、广谱的眯唑类抗真菌药物如益康唑、霉可唑和酮康唑、消炎镇痛药双氯芬酸钠(商品名为扶他林)、新型非甾体抗菌素类解热镇痛药氟水杨酸等。在染颜料工业中间二氯用于合成asitr、色酚as-lg及颜料坚固洋红fb等,其发展前景十分广阔。其应用举例如下:
1.合成间二酚。
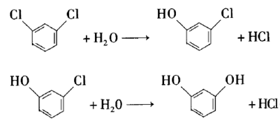
间二酚是一种重要的精细有机化工原料,广泛应用于农业、染料、涂料、医药、塑料、橡胶、电子化学品等领域。以间二氯为原料、氧化镧为催化剂,在koh水溶液中水解生成间二酚.实验结果表明,间二氯水解的适宜工艺条件为:反应温度260℃ 、反应体系ph为13.4、v(水):v(间二氯):15:1、搅拌速率为400 r/min.在上述工艺条件下,间二氯转化率>70% ,间二酚收率>20%.

2. 制备间氯甲醚。
间氯甲醚是一种重要医药化工中间体,广泛应用于医药及有机合成中。医药方面的主要用途是替代间溴甲醚生产盐酸曲马多,也是合成3-甲氧基硫酚的原料。间氯甲醚因其质量高、价格低,得到众多使用者的青睐。
合成方法是将间二氯、甲醇钠和有机溶剂混合,同时加入铜盐作为催化剂,间二氯:甲醇钠:铜盐的摩尔比为1:0.5~8:0.005~0.1,每克间二氯中加入1.5~3.5ml的有机溶剂,在75~150℃回流温度下搅拌反应3~24小时反应完毕,蒸除有机溶剂,残液中加水,并使用第二有机溶剂萃取,蒸馏或精馏有机液得到化合物间氯甲醚。
本发明质量高,价格低,具有很大的市场优势;本发明以间二氯为原料,在自制的铜盐催化剂下和甲醇钠溶液反应,方便经济的得到间氯甲醚;本发明为一步法合成法,工艺简单,操作方便,生产周期短,对环境污染小,产品收率较高,具有很好的发展前景。

制备[5][6]
方法1:-硝化一高温氯化工艺。经过一硝化、二硝化后,得到含间二硝基质量分数为88%的混合二硝基,加入亚(氢)钠水溶液后,生成溶于水的令 对硝基磺酸钠而分离,得到高含量的间二硝基,经氯化脱硝基即得到问二氯。该反应为自由基取代反应,一般是在自由基引发剂(如偶氮二异丁腈、过氧化甲酰等)作用下或在紫外光照射下进行。

方法2:以间二硝基一步氯化而制得。

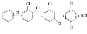
方法3:对/邻二氯异构化。在用或氯为原料经氯化制得二氯的过程中,得到的邻二氯和对二氯占比例较大,间二氯仅占2% ~3% ,混合二氯经催化异构化后再分离制得问二氯。
曾有文献报道许多催化异构化制备方法,早期使用的催化剂主要为强酸性的三氯化铝、hf—bf 等。这类路易斯酸极易吸水,遇水放出氯化氢、氟化氢,具有强腐蚀性;路易斯酸水合物很难干燥,该类催化剂再生困难(如加热三氯化铝水合物会放出氯化氢,而得不到纯净的无水三氯化铝),因而被淘汰。20世纪70年代后,对该类催化剂的研究重点集中在沸石上,许多反应用沸石代替液态酸作为催化剂。邻/对二氯在酸性沸石催化剂作用下,催化转位制得高产率的间二氯,

主要参考资料
[1] 明精细化工大辞典
[2] 江国防;王敬祝.一种间二氯的制备方法.cn201710200205.8 ,申请日20170330
[3] 杨慧慧, 张跃, 严生虎, 等. 间二氯水解制备间二酚[j]. 南京工業大學學報 (自然科學版), 2007, 29(2): 30-33.
[4] 汪德林;黄绪民;王培坤;邵千飞. 一种间氯甲醚的合成方法. cn201410035767.8,申请日20140124
[5] 佘卫民, 许小亮, 吴春江, 等. 邻二氯异构化生产间二氯工艺[j]. 氯碱工业, 2017, 53(7): 24-25.
[6] 唐琴, 丁克鸿. 2 种间二氯生产工艺的比较[j]. 氯碱工业, 2011, 47(3): 24-29.



微信扫一扫打赏
支付宝扫一扫打赏
