背景及概述[1][2]
3-甲氧基基丙酮可用于合成香料,也用于合成盐酸他喷他多。盐酸他喷他多(tapentadol hydrochloride),化学名为3-[(1r,2r)-3-(二甲胺 基)-1-乙基-2-甲基丙基]酚盐酸盐,用于解除成人中枢神经系统的中至重度急性疼痛,临床疗效良好。3-甲氧基丙酮是合成盐酸他喷他多的关键中间体。如果吸入3-甲氧基基丙酮,请将患者移到新鲜空气处;如果皮肤接触,应脱去污染的衣着,用肥皂水和清水彻底冲洗皮肤,如有不适感,就医;如果眼晴接触,应分开眼睑,用流动清水或生理盐水冲洗,并立即就医;如果食入,立即漱口,禁止催吐,应立即就医。
目前,国内外3-甲氧基丙酮工业化生产的传统工艺,采用3-羟基丙酮与二甲酯反应得到3-甲氧基丙 酮,成本高,副产物多,收率低,二甲酯毒性大,工业化生产困难。因此寻求工艺先进,产成本低,开发3-甲氧基丙酮生绿色产工艺势在必行。
制备[1][2]
方法1:一种3-甲氧基丙酮的绿色合成方法。为解决上述技术问题,本发明采用以下技术方案:在装有回流冷凝管、滴液漏斗的反应器中加入镁粉、无水三氯化铝,从滴液漏斗中缓慢加入间甲氧基溴和四氢呋喃(thf)混合溶液,控制反应液温度30-80℃,使溶液一直 保持微沸状态,滴加完毕后加热回流0.5-1.0h,保证镁反应完全,得到格氏试剂。搅拌下,将 丙腈缓慢慢滴加到格氏试剂中,滴加完后,再反应1.0-2.0h。反应完毕,冷水浴下缓慢滴加 3mol/l的盐酸,分解加成产物,分出无机相,有机相经常压蒸馏除去thf,减压蒸馏,得到3- 甲氧基丙酮。
方法2:3-甲氧基丙酮的制备工艺,其特征在于,本制备工艺包括下述步骤:
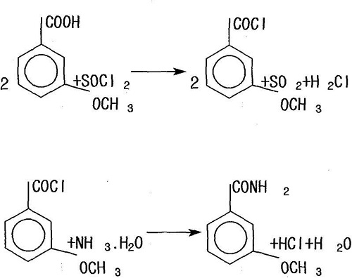
1)3-甲氧基甲酸的制备:在容器中加入水、固体naoh、 间羟基甲酸和二甲酯进行醚化反应,然后再加入酸性溶液进行酸化处理,经离心和烘干处理后获得3-甲氧基甲酸;

2)3-甲氧基甲酰氯和间甲氧基甲酰胺的制备:在容器中加入上述的间甲氧基甲酸和,并将两者混合均匀,然后加入氯化亚砜进行酰氯化反应,获得含有间甲氧基甲酰氯的混合液;在另一容器中加入氨水及冰块,然后将上述含有间甲氧基甲酰氯的混合液放入进行冰解,经离心、水冲洗、沥干和烘干处理后获得间甲氧基甲酰胺;

3)间甲氧基甲腈的制备:在容器中加入间甲氧基甲酰胺、乙腈和三氯氧磷形成含有间甲氧基甲酰胺的混合液;在另一容器中加入冰水,然后将上述含有间甲氧基甲酰胺的混合液放入进行水解,经分层洗涤和蒸馏后获得间甲氧基甲腈;
4)3-甲氧基丙酮的制备:在容器中加入镁屑、四氢呋喃、和溴乙烷,然后加入间甲氧基甲腈,获得含有间甲氧基甲腈的混合液;在另一容器中将上述含有间甲氧基甲腈的混合液进行酸化处理,经分层、萃取水洗和蒸馏即得3-甲氧基丙酮成品。

应用[2][3]
3-甲氧基丙酮是用于生产药物他喷他多的关键中间体。他喷他多是一种新颖的作用于中枢神经系统的口服止痛药物,它有两种作用机制:一种是作用于阿片μ2受体,通过改善疼痛感觉和情感因素,抑制疼痛在脊髓中的传递,从而影响和控制感知疼痛的大脑皮层部位的活动;另一种是对去甲肾上腺素重摄取的抑制作用,抑制其重吸收进入神经细胞,从而提高大脑中的去甲肾上腺素水平,同样也起到镇痛作用。
他喷他多不依赖代谢活化作用,没有代谢活化产物,对各种急性炎症和神经痛均具有强效作用,其效能介于吗啡和曲马多之间,静脉注射和口服均可获得较高的血药浓度,与吗啡相比更不易产生镇痛耐受性和依赖性。药代动力学研究表明,他喷他多的口服绝对生物利用度为32%,且代谢稳定,几乎可全部代谢为无活性的结合物,大约在5d后代谢达到平衡。
主要参考资料
[1] 李德江;周洋;王龙;张诺诺;郑开波;李秀荣.一种3甲氧基丙酮的合成方法. cn201610924744.1,申请日20161024
[2] 唐保清;秦国宏;付志明;居名.间甲氧基丙酮的制备工艺. cn200910035465.x,申请日20090928



微信扫一扫打赏
支付宝扫一扫打赏
