背景及概述[1]
邻二甲醚又名藜芦醚,纯品为无色透明液体,低温为固体,有着广泛的工业用途,是一种重要的精细化工原料,不仅是烯酰吗啉合成中的一个关键中间体,又可用作检测血液中乳酸、测定甘油的试剂。
合成方法[1]
以邻二酚为起始原料,在带搅拌测温装置的高压反应釜中加入邻二酚22.0g(0.2mol),氢氧化钠16g(0.4mol),水130ml,合上釜盖,用n2检漏并置换空气数次后加入氯甲烷20.2g(0.4mol),升温至50℃,压力为0.3mpa,保持该温度和压力反应4h后结束反应,将反应液静置分液得下层油相,进行常压间歇精馏,收集216.5℃~217.7℃馏分,得到产品24.8g,收率90.0%,纯度99%。该反应路线如下。

应用领域[2][3][4][5]
1.合成4-甲基邻二酚
4-甲基邻二酚是一种重要的有机化工原料,可用作合成香料、医药、农药和染料等的中间体,还可用作食品的抗氧化剂以及高分子聚合的高效阻聚剂。以邻二甲醚为原料可以经济、安全地生产4-甲基邻二酚,其反应式如下。主要步骤包括:
(1)将邻二甲醚、多聚甲醛加入到有机溶剂中,于-5℃~10℃下再滴加浓盐酸得到4-氯甲基邻二甲醚;
(2)现将4-氯甲基邻二甲醚加入到醇类有机溶剂中,后加入锌粉、铵盐,加热回流下还原生成4-甲基邻二甲醚;
(3)将4-甲基邻二甲醚、溴化氢水溶液与相转移催化剂(如三乙基苄基氯化铵)和添加剂混合,升温回流下得到4-甲基邻二酚。

2.合成烯酰吗啉
烯酰吗啉是一种肉桂酸的衍生物,对藻状菌的霜霉和疫霉属真菌具有独特的作用,可用于对葡萄、黄瓜、马铃薯上的病菌进行防治,具有毒性低、效果好的优点。以邻二甲醚为起始原料,在有机溶剂和三氯化铝存在下,邻二甲醚和对氯甲酰氯进行傅克反应,1~5h得到3,4-二甲氧基-4’-氯二酮,与乙酰吗啉在氨基钠存在下,反应得到烯酰吗啉。
3.生产洗手液
将碘(5份)、甘草(15份)、丙二醇(8份)、甘宝素(8份)、邻二甲醚(8份)、柠檬醛(8份)、壬基酚聚氧乙烯(5份)加入分散缸中,与10份的水相混合,以400转/分的速率低速搅拌20min,形成均一的浆液,再将丙酮(9份)、二甲基酰胺(5份)和甘油(5份)加入浆液中,搅拌均匀,后将余下的10份水加入浆液中,并以600转/分的速率搅拌均匀,即制得消毒型洗手液。
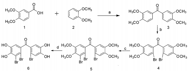
4.合成ptp1b抑制剂
ptp1b(蛋白酪氨酸磷酸酶1b)是蛋白酪氨酸磷酸酶家族的主要成员之一,在胰岛素信号转导通路中起着重要的负调控作用,研究证实,在胰岛素敏感细胞中应用ptp1b抑制剂可使胰岛素受体及其底物磷酸化水平提高,促进葡萄糖转运子易位及增加葡萄糖摄取等,ptp1b抑制剂起到了胰岛素类似物和胰岛素增敏剂的作用。-(2’-溴-4’,5-二羟基-基)-(2,3-二溴-4,5-二羟基-基)-甲酮是一种具有ptp1b抑制活性的溴代海洋天然产物,可以利用邻二甲醚合成,其合成路线如下。

主要参考资料
[1] 陈新志,罗虎,钱超,邻二甲醚的合成方法,cn 201010161432,申请日2010-04-29
[2] 朱锦桃,李杨,周垂备,一种4-甲基邻二酚的制备方法,cn 201310565149,申请日2013-11-13
[3] 吕龙,李泽方,相转移催化合成烯酰吗啉的方法,cn 200610024481,申请日2006-08-09
[4] 邵绪霞,一种改进型消毒洗手液及其制备方法,cn 201210306615,申请日2012-08-14
[5] 李敬,郭书举,韩丽君,一种ptp1b抑制剂及其合成方法和应用,cn 200910231300,申请日2009-12-18



微信扫一扫打赏
支付宝扫一扫打赏
