概述[1][2]
4-氯-3-硝基甲醚是合成类风湿关节炎治疗药物艾拉莫德(t-164)的主要原料,在国内还没有工业化生产,主要依赖进口,其传统合成方法主要是以对硝基甲醚为原料,经还原、乙酰化、硝化、水解、重氮化氯代5步反应制得,但由于反应条件苛刻,原料来源,收率低等问题,不适宜工业化生产,本文参考其他文献对工艺作了改进,选择以常见、廉价的药物扑热息痛(对乙酰氨基酚)为起始原料,经甲基化、硝化、水解,重氮化氯代4步反应制得,该工艺路线原料来源容易、步骤少,完全可以工业化生产。
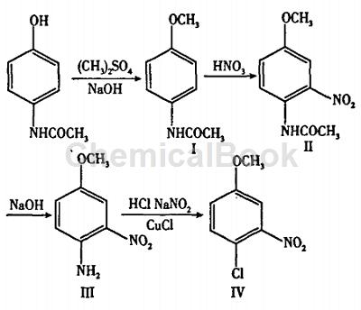
合成路线[2][3][4][5]
合成路线如下图所示。

(1)n-(4-甲氧基)基乙酰胺(ⅰ)
将30.2 g(0.2 mol)对乙酰氨基酚溶于400 ml i mol/l氢氧化钠溶液,滴加38 g二甲酯(0.3mol),常温下搅拌2 h,出现大量的固体。过滤,滤饼以水洗涤至洗液呈中性,得32.8 g白色晶体i,收率为97%,mp127-129℃。
(2)n-(4-甲氧基-2-硝基)基乙酰胺(ⅱ)
将16.5 g化合物i(0.1mol)溶于200 ml二氯甲烷中,滴加15 ml发烟硝酸,常温下搅拌2 h。然后依次以水、饱和碳酸钠溶液、水洗,用无水钠干燥,旋蒸溶剂得黄色固体,再以95%乙醇重结晶,得19.4 g黄色针状晶体ⅱ,收率为93%,mp118-119℃。
(3)4-甲氧基-2-硝基胺(ⅲ)
将10.5 g化合物ⅱ(50 mmol)加至100 ml 4mol/l氢氧化钠溶液中,于60℃搅拌反应2 h,出现大量橙红色固体。过滤,滤饼水洗至中性,以95%乙醇重结晶,得7.7 g暗红色晶体ⅲ,收率为91%,mp127-129℃。
(4)4-氯-3-硝基甲醚(ⅳ)
将24.5 g浓盐酸,24.5 ml水混和后,再加入5.5g 4-甲氧基-2-硝基胺(0.03 mol),搅拌待其溶解后,再降温至10℃以下,滴加8 ml亚硝酸钠(2.26 g)的溶液,温度不得高于5℃,滴毕,放置备用。
将2.26 g氯化亚铜,6.57 g浓盐酸、8.2 ml水混和后,搅拌使其溶解,然后滴加前面备用溶液,控制温度不超过10℃,有大量泡沫产生,滴毕,加热至45℃左右,使气体放尽,然后降温至30℃以下,用萃取,然后减压旋于,将得到的固体再用无水乙醇重结晶,得4.2 g淡黄色晶体ⅳ,收率为91%,mp42—44℃。
方法优势
硝化反应采用发烟硝酸作为硝化剂,以发烟硝酸硝化得n-(2-硝基-4-甲氧基)基乙酰胺,避免了以混酸进行硝化,并且以发烟硝酸作为硝化剂硝化收率高,该硝化方法既节约了成本,又简化了设备与操作,另外以氢氧化钠的水溶液作为水解试剂也比以碱的醇溶液收率高。
应用[6]
艾拉莫德是一种新型抗炎药,可用于治疗风湿性关节炎。可以用4-氯-3-硝基甲醚(化合物2)作为原料,在叔丁醇钾的催化下,与酚发生醚化反应生成4-氧基-3-硝基甲醚(化合物3);化合物3再经过硝基还原,生成4-氧基-3-氨基甲醚(化合物4);化合物4在吡啶中与甲磺酰氯发生甲磺酰化反应,生成4-氧基-3-甲磺酰胺基甲醚(化合物5);然后将三氯化铝与氨基乙腈盐酸盐溶于硝基中,再加入化合物5,然后持续不断通入饱和的氯化氢气体进行盖特曼.科赫反应,生成α-氨基-2-甲氧基-4-甲磺酰胺基-5-氧基乙酮盐酸盐(化合物6);化合物6经甲氧基水解得α-甲酰胺基-2-甲氧基-4-甲磺酰胺基-5-氧基乙酮(化合物7);后化合物7与n,n-二甲基甲酰胺二甲缩醛发生环化反应得到目标产物艾拉莫德(化合物1)。本课题研究了醚化反应中投料比、反应时间;还原反应中铁粉的用量、盐酸的用量;甲磺酰化反应中甲磺酰氯的用量、毗啶的用量等因素对产物得率的影响;探讨了盖特曼.科赫反应、氨基酰化反应、甲氧基水解和环化反应的合成方法和机理等。 确定了较佳工艺条件:醚化反应中,4-氯-3-硝基甲醚/酚/叔丁醇钾的摩尔量为0.25/0.35/0.42,在110℃下反应5h,收率为82.5%;还原反应中,每49化合物3与39还原铁粉和1.2ml的4mol·l-1的盐酸,在70℃下反应lh,收率为82.4%;在50ml吡啶中,每2.59化合物4与1.8ml甲磺酰氯,0℃-5℃下反应1h,收率为93.0%;目标产物艾拉莫德(化合物1)的总得率为37.7%。
参考文献
[1] 汪燕翔,高红,曹风华.艾拉莫德的合成研究[j].中国新药杂志,2006,15(23):2042—2044.
[2] mahajans.nandrer.studies in the synthesis of 2-meteapto-5-methoxybenzimidazole[j].indian journal ofchemistry,2006,45b:1756-1758.
[3] 高侠.2一硝基一4一甲基胺的合成工艺改进[j].天津化工,2006,20(6):45—46
[4] 刘德龙,膏艳,高云等.2一硝基一4一甲氧基胺的制
备[j].徐州师范大学学报,2003,21(4):25—27
[5] 祁刚, 吴同新, 张银华. 4-氯-3-硝基甲醚的合成[j]. 化工时刊, 2010, 24(9):26-27.
[6] 魏佩佩. 艾拉莫德的合成研究[d]. 南京理工大学, 2009.



微信扫一扫打赏
支付宝扫一扫打赏
