
结构式
| 物竞编号 | 01nm |
|---|---|
| 分子式 | c4h11n |
| 分子量 | 73 |
| 标签 |
1-氨基-2-甲基丙烷, 1-amino-2-methylpropane |
编号系统
cas号:78-81-9
mdl号:mfcd00008146
einecs号:201-145-4
rtecs号:np9900000
brn号:385626
pubchem号:24881092
物性数据
1.性状:无色液体,有氨的气味。[1]
2.熔点(℃):-85.5[2]
3.沸点(℃):64~71[3]
4.相对密度(水=1):0.724(25℃)[4]
5.相对蒸气密度(空气=1):2.5[5]
6.饱和蒸气压(kpa):13.33(18.8℃)[6]
7.燃烧热(kj/mol):-2982.8[7]
8.临界压力(mpa):4.2[8]
9.辛醇/水分配系数:0.73[9]
10.闪点(℃):-9(cc)[10]
11.引燃温度(℃):378[11]
12.爆炸上限(%):12[12]
13.爆炸下限(%):2[13]
14.溶解性:混溶于水,溶于乙醇、、丙酮、、烃类等。[14]
15.黏度(mpa·s,25ºc):0.553
16.蒸发热(kj/mol,25ºc):33.52
17.蒸发热(kj/mol,b.p.):30.80
18.生成热(kj/mol):-178.78
19.比热容(kj/(kg·k) ,25ºc,定压):2.66
毒理学数据
1、急性毒性:大鼠口径ld50:224mg/kg;
2、毒性强,刺激皮肤和黏膜,接触皮肤引起皮炎而发疱。其蒸气能引起头痛、口渴、鼻黏膜干燥。
3.急性毒性[15] ld50:224mg/kg(大鼠经口)
生态学数据
1.生态毒性 暂无资料
2.生物降解性[16] miti-i测试,初始浓度100ppm,污泥浓度30ppm,2周后降解68%~87%。
3.非生物降解性[17] 空气中,当羟基自由基浓度为5.00×105个/cm3时,降解半衰期为11h(理论)。
4.其他有害作用[18] 该物质对环境可能有危害,对水体应给予特别注意。
分子结构数据
1、摩尔折射率:24.07
2、摩尔体积(cm3/mol):98.6
3、等张比容(90.2k):217.7
4、表面张力(dyne/cm):23.7
5、极化率(10-24cm3):9.54
计算化学数据
1.疏水参数计算参考值(xlogp):无
2.氢键供体数量:1
3.氢键受体数量:1
4.可旋转化学键数量:1
5.互变异构体数量:无
6.拓扑分子极性表面积26
7.重原子数量:5
8.表面电荷:0
9.复杂度:17.6
10.同位素原子数量:0
11.确定原子立构中心数量:0
12.不确定原子立构中心数量:0
13.确定化学键立构中心数量:0
14.不确定化学键立构中心数量:0
15.共价键单元数量:1
性质与稳定性
1.化学性质:具有伯胺的化学性质,其水溶液呈碱性。加压下于250℃将异丁胺、、氨的混合物通过镍硅胶催化剂时,生成异丁腈与环己烷。异丁胺与甲醛水溶液反应,可生成1,3,5-三丁基环己-1,3,5-三嗪。
2.稳定性[19] 稳定
3.禁配物[20] 强氧化剂、酸类
4.聚合危害[21] 不聚合
贮存方法
储存注意事项[22] 储存于阴凉、通风的库房。远离火种、热源。库温不宜超过37℃。保持容器密封。应与氧化剂、酸类分开存放,切忌混储。采用防爆型照明、通风设施。禁止使用易产生火花的机械设备和工具。储区应备有泄漏应急处理设备和合适的收容材料。
合成方法
1.由异丁醇与氨作用催化脱水制得醇经氨解反应后可得伯、仲、叔胺的混合产物,三种胺生成的比例与原料、催化剂及反应条件有关。通过调节醇和氨的比例及反应条件,可以得到的所期望的产品比例。
![]()
2.由异丁醛和氨经催化加氢制得。
![]()
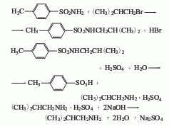
3.以溴代异丁烷与对磺酰胺为原料,经缩合、水解而得。先将对磺酰胺、溴代异丁烷、乙醇碱液一起回流4h,回收乙醇至出现结晶,再用盐酸中和,则析出大量淡黄色结晶,过滤,水洗得缩合物。将缩合物、和水混合加热回流10h后,改为蒸馏装置,加40%液碱调至碱性,随后减压蒸出粗胺,再粗馏收集66.8-68.8℃馏分即为成品。

精制方法:异丁胺是用氯代异丁烷与氨反应,或异丁烷的硝基化合物用铁和盐酸还原或催化还原制备的。因此常含有氯代异丁烷、氨、二异丁胺等杂质。常用蒸馏的方法精制。也可以将异丁胺盐或其加合物重结晶精制。
用途
用于有机合成,及制造杀虫剂。[23]



微信扫一扫打赏
支付宝扫一扫打赏
