
结构式
| 物竞编号 | 01cw |
|---|---|
| 分子式 | c6h8n2o2s |
| 分子量 | 172.21 |
| 标签 |
对氨基磺酰胺, 氨磺酰胺;氨磺胺;磺酰胺, 4-aminobenzene sulfonamide, p-anilinesulfonamide, 芳香族含硫化合物 |
编号系统
cas号:63-74-1
mdl号:mfcd00007939
einecs号:200-563-4
rtecs号:wo8400000
brn号:511852
pubchem号:24899829
物性数据
1. 性状:白色颗粒或粉末状结晶,无臭,味微苦。
2. 密度(g/ml,25/4℃):1.08
3. 相对蒸汽密度(g/ml,空气=1):不确定
4. 熔点(ºc):165~166
5. 沸点(ºc,常压):不确定
6. 沸点(ºc, 5.2kpa):不确定
7. 折射率:不确定
8. 闪点(ºc):不确定
9. 比旋光度(º):不确定
10. 自燃点或引燃温度(ºc):不确定
11. 蒸气压(kpa,25ºc):不确定
12. 饱和蒸气压(kpa,60ºc):不确定
13. 燃烧热(kj/mol):不确定
14. 临界温度(ºc):不确定
15. 临界压力(kpa):不确定
16. 油水(辛醇/水)分配系数的对数值:不确定
17. 爆炸上限(%,v/v):不确定
18. 爆炸下限(%,v/v):不确定
19. 溶解性:微溶于冷水、乙醇、甲醇、和丙酮,易溶于沸水、甘油、盐酸、氢氧化钾及氢氧化钠溶液,不溶于氯仿、、、石油醚。
毒理学数据
急性毒性:
口腔 ld50 2000mg/kg(dog)
3130 mg/kg(guinea pig)
3000mg/kg(mus)
3900mg/kg(rat)
1300mg/kg(rbt)
主要的刺激性影响:
在皮肤上面:可能引起发炎
在眼睛上面:可能引起发炎
致敏作用:没有已知的敏化作用
生态学数据
总括注解
水危害级别1(德国规例)(通过名单进行自我评估)该物质对水是稍微危害的。
不要让未稀释或大量的产品接触地下水、水道或污水系统
若无政府许可,勿将材料排入周围环境。
分子结构数据
1、 摩尔折射率:42.80
2、 摩尔体积(cm3/mol):120.6
3、 等张比容(90.2k):340.9
4、 表面张力(dyne/cm):63.7
5、 极化率(10-24cm3):16.97
计算化学数据
1.疏水参数计算参考值(xlogp):无
2.氢键供体数量:2
3.氢键受体数量:4
4.可旋转化学键数量:1
5.互变异构体数量:无
6.拓扑分子极性表面积94.6
7.重原子数量:11
8.表面电荷:0
9.复杂度:211
10.同位素原子数量:0
11.确定原子立构中心数量:0
12.不确定原子立构中心数量:0
13.确定化学键立构中心数量:0
14.不确定化学键立构中心数量:0
15.共价键单元数量:1
性质与稳定性
可作药物使用,对细菌的生长繁殖有抑制作用。大量服用磺胺,可因吸收与排泄失去平衡而致死。狗经口ld50:2000mg/kg。人体大量服用磺胺可引起欲减退、恶心、呕吐、腹泻等副作用,对肝、肾造成影响,亦可引起耳鸣、眩晕、头痛,甚至可出现各种精神症状,直至死亡。操作人员应穿戴防护用具。
贮存方法
1.存在阴凉、通风、干燥处,防热、防晒、防潮。按一般化学品规定贮运。
2.采用内衬塑料袋外套麻袋,或内衬塑料袋、中层用牛皮纸袋、外套纤维布袋包装。一般每袋40kg。贮存在阴凉、通风、干燥处,防热、防晒、防潮。按一般化学品规定贮运。
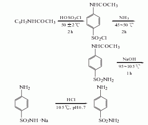
合成方法
1.由乙酰胺经氯磺化、胺化、水解、中和制得。
原料消耗定额:乙酰胺(99%)1032kg/t、氯磺酸(96%)4521kg/t、液氨(99.8%)535kg/t、
液碱(30%)863kg/t。

用途
1.用于亚硝酸盐的测定。生化研究。有机合成。 2.该品是磺胺类药物的重要中间体。本品对溶血性链球菌,脑膜炎,球菌的抗菌作用强,但因疗效差,毒性大,很少用于内服.外用作撒剂或软膏可以防治创伤感染,但可引起过敏性反应,故也很少用,现在要作合成其他磺胺类药的中间体用,国外也用作合成农业”黄草灵”的原料。 3.用作分析试剂,如作光度法测定亚硝酸盐、亚硝基铁氰化钠的试剂。用于生化研究,有机合成及制药工业。 4.合成磺胺类药物的主要原料,除用来制取结晶磺胺供外用消炎外,还可以合成其他磺胺类药物如磺胺脒、磺胺甲氧嗪、磺胺甲基嘧啶等。



微信扫一扫打赏
支付宝扫一扫打赏
