
结构式
| 物竞编号 | 02kx |
|---|---|
| 分子式 | c15h10n2o2 |
| 分子量 | 250.25 |
| 标签 |
二基甲烷-4,4’-二异氰酸酯, 4,4'-二基甲烷二异氰酸酯, diphenylmethane 4,4 '- diisocyanate, 4,4' – diphenyl methane diisocyanate, 功能材料, 芳香族含氮化合物及其衍生物 |
编号系统
cas号:101-68-8
mdl号:mfcd00036131
einecs号:202-966-0
rtecs号:nq9350000
brn号:797662
pubchem号:24860077
物性数据
1. 性状:白色至浅黄色熔融固体,加热时有刺激性臭味。
2. 密度(g/ml,20℃):1.20
3. 相对蒸汽密度(g/ml,空气=1):8.64
4. 熔点(ºc):40-41
5. 沸点(ºc,常压):190
6. 沸点(ºc, 4mmhg):210
7. 折射率:未确定
8. 闪点(ºc):未确定
9. 比旋光度(º):未确定
10. 自燃点或引燃温度(ºc): 未确定
11. 蒸气压(mmhg,20.2ºc):未确定
12. 饱和蒸气压(kpa, 25ºc):0.07
13. 燃烧热(kj/mol):未确定
14. 临界温度(ºc):未确定
15. 临界压力(kpa):未确定
16. 油水(辛醇/水)分配系数的对数值:未确定
17. 爆炸上限(%,v/v):未确定
18. 爆炸下限(%,v/v):未确定
19. 溶解性:溶于丙酮、、煤油等。
毒理学数据
1、 急性毒性:大鼠吸入lc50:15ppm,2小时口服-大鼠 ld50: 9200 毫克/公斤; 口服-小鼠 ld50: 2200 毫克/公斤
生态学数据
水危害级别1(德国规例)(通过名单进行自我评估)该物质对水有稍微危害的。
不要让未稀释或大量的产品接触地下水、水道或污水系统。
若无政府许可,勿将材料排入周围环境。
分子结构数据
1、 摩尔折射率:74.38
2、 摩尔体积(cm3/mol):221.0
3、 等张比容(90.2k):574.7
4、 表面张力(dyne/cm):45.6
5、 介电常数:
6、 偶极距(10-24cm3):
7、 极化率:29.49
计算化学数据
1.疏水参数计算参考值(xlogp):5.4
2.氢键供体数量:0
3.氢键受体数量:4
4.可旋转化学键数量:4
5.互变异构体数量:无
6.拓扑分子极性表面积58.9
7.重原子数量:19
8.表面电荷:0
9.复杂度:332
10.同位素原子数量:0
11.确定原子立构中心数量:0
12.不确定原子立构中心数量:0
13.确定化学键立构中心数量:0
14.不确定化学键立构中心数量:0
15.共价键单元数量:1
性质与稳定性
1.避免与强氧化剂、酸类、醇类、潮湿空气接触。溶于丙酮、四氯化碳等溶剂。有毒,蒸汽压比tdi的低,对呼吸器官刺激性小,对皮肤、黏膜及眼睛均有刺激作用。在室温下易生成二聚体,颜色变黄,也易含头羟基化合物、胺等反应。2.可导致中度眼睛刺激和轻微的皮肤刺激,可造成皮肤过敏,在空气中大允许浓度为0.02×10-6。
由于mdi活泼的化学性质,在操作时防止其与皮肤的直接接触及溅入眼内,穿戴必要的防护用品(手套、防护镜、工作服等)。
贮存方法
1.储存于阴凉、干燥、通风良好的库房。远离火种、热源。保持容器密封。应与氧化剂、酸类、醇类等分开存放,切忌混储。配备相应品种和数量的消防器材。储区应备有合适的材料收容泄漏物。库温不宜超过20℃,严格防水、防潮,避免日光直射。2.200l镀锌铁桶,18l马口铁桶。在5℃以下贮存,在贮存过程中必须保证容器的严格干燥密封并充干燥氮气保护。一旦容器内漏入水分,切忌密封太严,应留有排气孔,以防鼓爆炸裂。
合成方法
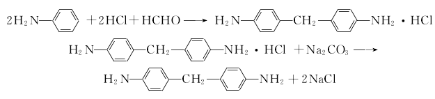
1.(1)光气合成法 由胺和甲醛缩合制备二氨基二甲烷
再由4,4′-二氨基二甲烷与光气反应而得本品。光气化反应在溶剂中进行,反应过程产生氯化氢,被吸收为盐酸,反应得到的粗品经精馏精制即得成品,
mdi的生产过程与二异氰酸酯(tdi)等产品有许多共同性。(2)非光气合成法 在室温下,在1000ml盛有4,4′-二氨基二甲烷(29.7g,0.15ml)的二氯甲烷(300ml)溶液的三颈瓶上装有两只滴液漏斗,其中分别盛有二(三氯甲烷)碳酸酯(29.6g,0.1ml)的二氯甲烷(200ml) 溶液和n a oh(24g,06mol)的水溶液(200ml),慢慢地滴加二(三氯甲烷)碳酸酯的二氯甲烷和n aoh的水溶液到剧烈搅拌着的4,4′-二氨基二甲烷的二氯甲烷溶液中,反应体系微有发热。控制两只溶液漏斗中溶液的滴加速度,使整个反应过程中维持反应体系的ph值在11-12之间。将反应瓶浸没在冷水浴中,维持反应体系在室温左右,待溶液滴加完毕后,继续在室温下反应2h。反应结束后,在分液漏斗中将水层和二氯甲烷层分离,水层用2×20ml二氯甲烷萃取;合并有机层,用无水镁干燥后除去大部分溶剂,参与物在硅胶柱色谱上用二氯甲烷:轻石油醚(7:3)作淋洗剂进行分离,得到浅黄色产物28.45 g,产率87%,熔点40-42℃。2.见1.5-萘二异氰酸酯的制备。
用途
用作聚氨酯泡沫塑料、橡胶、纤维、涂料等的原料。 是合成聚氨酯胶黏剂和密封剂的主要原料,还用于制造聚氨酯涂料、聚氨酯泡沫塑料、橡胶、催化剂、胶黏剂、除草剂、人造革、弹性纤维、合成革等。



微信扫一扫打赏
支付宝扫一扫打赏
