
结构式
| 物竞编号 | 01sj |
|---|---|
| 分子式 | c28h31cln2o3 |
| 分子量 | 479.01 |
| 标签 |
罗丹明610;玫瑰红b;蕊香红b;玫瑰精b;若丹明b;蓝光碱性蕊香红, basic violet 10, rhodamine o, brilliant pink b, tetraethylrhodamine, 染色剂 |
编号系统
cas号:81-88-9
mdl号:mfcd00011931
einecs号:201-383-9
rtecs号:bp3675000
brn号:4119648
pubchem号:24899386
物性数据
1. 性状:绿色结晶或红紫色粉末。2. 密度(g/ml,25/4℃):不确定
3. 相对蒸汽密度(g/ml,空气=1):不确定
4. 熔点(ºc):):210
5. 沸点(ºc,常压):不确定
6. 沸点(ºc,5.2kpa):不确定
7. 折射率:不确定
8. 闪点(ºc):不确定
9. 比旋光度(º):不确定
10. 自燃点或引燃温度(ºc):不确定
11. 蒸气压(kpa,25ºc):不确定
12. 饱和蒸气压(kpa,60ºc):不确定
13. 燃烧热(kj/mol):不确定
14. 临界温度(ºc):不确定
15. 临界压力(kpa):不确定
16. 油水(辛醇/水)分配系数的对数值:不确定
17. 爆炸上限(%,v/v):不确定
18. 爆炸下限(%,v/v):不确定
19. 溶解性:易溶于水、乙醇,微溶于丙酮、氯仿、盐酸和氢氧化钠溶液。水溶液为蓝红色,稀释后有强烈荧光,醇溶液为红色荧光。
毒理学数据
暂无
生态学数据
暂无
分子结构数据
暂无
计算化学数据
1.疏水参数计算参考值(xlogp):无
2.氢键供体数量:1
3.氢键受体数量:5
4.可旋转化学键数量:7
5.互变异构体数量:无
6.拓扑分子极性表面积52.8
7.重原子数量:34
8.表面电荷:0
9.复杂度:811
10.同位素原子数量:0
11.确定原子立构中心数量:0
12.不确定原子立构中心数量:0
13.确定化学键立构中心数量:0
14.不确定化学键立构中心数量:0
15.共价键单元数量:2
性质与稳定性
1.亮绿色闪光结晶粉状物,溶于水和酒精,呈带强荧光的蓝光红色溶液,易溶于溶纤素,微溶于丙酮;遇浓呈黄光棕色,有强的绿色荧光,稀释后呈大红色转为蓝光红色和橙色。其水溶液加氢氧化钠后加热,形成玫瑰红绒毛状沉淀。
2.配合物具有荧光。与类脂质反应在粉红色背景下产生紫色。
贮存方法
密封于阴凉干燥处保存。
合成方法
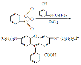
1.由间羟基二乙基胺与酐综合,再用氢氧化钠进行碱熔,而后经溶解、盐酸结晶、盐析、过滤、干燥即得该品。
原料消耗(kg/t) 间羟基二乙基胺 760酐 600 590 盐酸(31%) 390 氢氧化钠(100%) 390 精盐 120 太古油 19。
2.将过量的邻二甲酸酐和间羟基-n,n- 二乙基胺混匀,慢慢加热至100℃,再加入适量新焙烧的无水氯化锌作为脱水剂,充分搅拌下将温度逐渐升高至边反应边脱水:

待反应结束后,冷却固化,粉碎后,用热乙醇提取,提取液冷却后,即有罗丹明犅析出。分离出的结晶用稀盐酸溶解,蒸发浓缩,冷却结晶,分离,干燥后,即得成品。
3. 在50℃下,将工业品玫瑰晶精犅用碳酸钠溶液洗涤,罗丹明犅生成不溶性钠盐。而邻二甲酸钠溶于水中,过滤后,用水洗涤结晶,除去游离碱,分离后再将结晶加到盐酸中生成盐酸盐,再用水重结晶,即得试剂罗丹明b.
用途
1.主要用于造纸工业染蜡光纸、打字纸、有光纸等;与磷钨钼酸作用生成色淀,用于制造油漆、图画等颜料、也可用于腈纶、麻、蚕丝等织物以及麦秆、皮革制品的染色。 光度测定金、镓、汞、锑(ⅴ)、铊(ⅲ),荧光测定锰、钴等,比色测定镉。氧化还原指示剂用以滴定锡、锑、铌、钽的沉淀剂。生物染色剂。系列激光染料。
2.用于萃取光度法或荧光光度法测定镓、锑、钒、金、砷、铊等。六价铬可将碘化物氧化为 i3-,后者与试剂生成离子缔合物,其用于光度法测定各种环境水中六价铬。用作薄层色谱法测定类脂质的显色剂。还用作生物染色剂、染料。
3.在化妆品工业中,可用于浴液、洗发水、冷烫水等类产品的着色,但不得用于眼部、口腔及唇部化妆品中。



微信扫一扫打赏
支付宝扫一扫打赏
