吗啉 morpholine

广告位

吗啉结构式

结构式

物竞编号 032d
分子式 c4h9no
分子量 87.12
标签

四氢-1,4-恶嗪,

1,4-氧氮六环,

1,4-氧氮杂环己烷,

四氢-1,4-噁嗪,

吗啉,

吗啡啉,

1,4-氧氮杂环已烷,

对氧氮六环,

1-oxa-4-azacyclohexane,

1,4-oxazinan;tetrahydro-1,4-oxazinan,

杂环化合物,

缓蚀剂

编号系统

cas号:110-91-8

mdl号:mfcd00005972

einecs号:203-815-1

rtecs号:qd6475000

brn号:102549

pubchem号:24864597

物性数据

1.性状:无色油状吸湿性液体,有氨味。[11]

2.熔点(℃):-5[12]

3.沸点(℃):128.9[13]

4.相对密度(水=1):1.00[14]

5.相对蒸气密度(空气=1):3.0[15]

6.饱和蒸气压(kpa):1.06(20℃)[16]

7.临界温度(℃):344[17]

8.临界压力(mpa):5.302[18]

9.辛醇/水分配系数:-0.86[19]

10.闪点(℃):38(oc)[20]

11.引燃温度(℃):310[21]

12.爆炸上限(%):11.2[22]

13.爆炸下限(%):1.4[23]

14.溶解性:与水混溶,可混溶于多数有机溶剂。[24]

15.黏度(mpa·s,15ºc):2.5334

16.黏度(mpa·s,20ºc):2.33

17.蒸发热(kj/mol):43.96

18.熔化热(kj/mol):14.53

毒理学数据

1.急性毒性[25]

ld50:1450mg/kg(大鼠经口);525mg/kg(小鼠经口);500μl(500mg)/kg(兔经皮)

lc50:8000ppm(大鼠吸入,8h)

2.刺激性[26]

家兔经皮:995mg(24h),重度刺激。

家兔经眼:2mg,重度刺激。

3.亚急性与慢性毒性[27]  大鼠吸入6.4g/m3(反复吸入),眼、呼吸道刺激,肺、肝和肾有病变。

生态学数据

1.生态毒性[28]

lc50:350~400mg/l(96h)(鱼)

ic50:1.7~4.1mg/l(72h)(藻类)

2.生物降解性  暂无资料

3.非生物降解性  暂无资料

4.其他有害作用[29]   该物质对环境有危害,应特别注意对地表水、土壤、大气和饮用水的污染。

分子结构数据

1、摩尔折射率:23.40

2、摩尔体积(cm3/mol):93.5

3、等张比容(90.2k):217.6

4、表面张力(dyne/cm):29.2

5、极化率(10-24cm3):9.27

计算化学数据

1.疏水参数计算参考值(xlogp):无

2.氢键供体数量:1

3.氢键受体数量:2

4.可旋转化学键数量:0

5.互变异构体数量:无

6.拓扑分子极性表面积21.3

7.重原子数量:6

8.表面电荷:0

9.复杂度:34.5

10.同位素原子数量:0

11.确定原子立构中心数量:0

12.不确定原子立构中心数量:0

13.确定化学键立构中心数量:0

14.不确定化学键立构中心数量:0

15.共价键单元数量:1

性质与稳定性

1.化学性质:具有仲胺的性质,碱性介于哌啶与哌嗪之间(pka 8.36,25℃)。与脂肪酸、酸酐、酰氯反应,生成酰胺。与烷基化试剂如氯代烷、二烷基酯、甲酸与醛的混合物等反应,生成n-烷基取代物。与酮反应生成烯胺。与氯或次氯酸钠反应生成n-氯代吗啉。在干燥的中与二氧化碳作用,得到氨基甲酸衍生物。在酸性高锰酸钾溶液中逐渐发生氧化作用。

2.蒸气刺激皮肤及眼黏膜,引起呼吸困难,具有全身毒性作用,可引起肝、肾变性及坏死性病变。人体在43mg/l浓度下,作用1min,对鼻黏膜产生强烈的刺激,作用1.5min,出现咳嗽。在倾倒未稀释的本品时,吸入其蒸气者,咽喉即发生剧烈疼痛,咽部黏膜剧烈充血。未稀释的吗啉附在皮肤上可引起难以忍受的疼痛,并能透过皮肤吸收。空气中高容许浓度0.5mg/m3。生产车间要求通风良好,设备要密闭。操作人员要十分注意保护眼睛及皮肤,戴密闭眼镜、手套等。当接触高浓度时,要使用过滤式工业防护面具(a型)。应限制溶液中游离碱的含量不得超过2%。

3.稳定性[30]  稳定

4.禁配物[31]  酸类、酰基氯、酸酐、强氧化剂

5.聚合危害[32]  不聚合

贮存方法

1.储存注意事项[33]  储存于阴凉、通风的库房。远离火种、热源。库温不宜超过37℃。保持容器密封。应与氧化剂、酸类等分开存放,切忌混储。不宜大量储存或久存。采用防爆型照明、通风设施。禁止使用易产生火花的机械设备和工具。储区应备有泄漏应急处理设备和合适的收容材料。

2.溅及皮肤或眼睛时,应立即用水充分冲洗。严密封装于玻璃瓶或陶瓷罐内,外套木桶包装。贮存于阴凉、干燥、通风处。防晒、防潮,远离火种、热源。搬运时轻装、轻卸,避免包装破损。按有毒化学品规定贮运。

合成方法

1.由二乙醇胺经脱水环合而得。将二乙醇胺加入水反应锅内,在60℃以下滴加,加毕,升温于185-195℃,保温30min。冷至60℃以下,滴加氢氧化钠液至ph=11,冷却,过滤,滤液精馏,收集130℃以下馏分,精吗啉含量可达99.5%以上。该法原料易得,目前已成为世界生产吗啉的主要方法。由二噁烷与氨气相催化反应而可制得吗啉。

2.由二乙醇胺在存在下脱水环合而制得。将二乙醇胺加入反应锅内,在60℃以下滴加h2so4,加毕升温至185~195℃,保温30min,冷却至60℃,滴加naoh溶液,使ph=11,冷却过滤,滤液精馏,收集130℃以下馏分即为吗啉。
也可用二乙二醇和氨在催化剂存在和压力下制得吗啉。该方法原料易得,成为目前世界上生产吗啉的主要方法。

精制方法:将吗啉与金属钠一起回流1小时,在干燥氮气流下常压蒸馏精制。或用无水钙干燥后分馏。也可以将吗啉制成草酸盐,用60%%乙醇重结晶2次,加入浓氢氧化钾水溶液使吗啉游离出来,分离后用固体氢氧化钾干燥,再用金属钠干燥,然后分馏。

3.由二甘醇与氨在氢气和镍催化剂存在下于30~40mpa大气压和150~400℃温度下反应制得。或者由二乙醇胺与过量的浓盐酸(或浓)作用制得。

4.在酸性环境下使二乙醇胺闭环就能制成吗啉,然后通过精馏提纯。

用途

1.用作分析试剂,及树脂、蜡类、虫胶等的溶剂。广泛用作树脂、染料、蜡、虫胶、酪朊等的溶剂,锅炉防腐剂和橡胶硫化促进剂。也用于制备表面活性剂、增塑剂、抗氧剂和医药等。

2.用作水处理缓蚀剂,由于其水溶液呈碱性,可以中和水中的游离二氧化碳提高锅炉给水ph值,减缓二氧化碳的腐蚀。可防止锅炉给水的高温酸性氧化物的腐蚀。

3.医药方面用于合成病毒灵、布洛芬、萘谱里甲氧氯普胺、氟联丙酸以及咳必定、甲灭酸等多种重要药物。有机合成方面可用作n-甲基吗啉、n-乙基吗啉、吗啉脂肪酸盐等的中间体和原料。

4.该试剂可以作为碱,可以用来合成烯胺和作为mannich缩合反应时的催化剂。

willgerodt反应  吗啡啉可用来作为kindler改进的willgerodt反应中的胺组分[2],在微波照射下,也能发生这种重排反应 (式1,式2)[3]

亚胺的形成  吗啡啉是合成烯胺的三个主要二级胺中的一个,碱性比哌啶和四氢吡咯弱,因此烯胺的形成速度要比哌啶和四氢吡咯慢。吗啡啉在形成烯胺的过程中,区域选择性也比吡啶和四氢吡咯差[4]。饱和的醛、酮与吗啡啉合成烯胺时,可以直接在中加热反应[5],或用对磺酸、四氯化钛催化 (式3)[6],也可用微波照射[7],或者与三氟磺酸烯醇酯在pd催化作用下反应生成 (式4)[8]

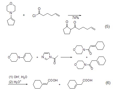
吗啡烯胺的应用  虽然吗啡啉合成烯胺时的活性不高,但在合成吡咯烷酮衍生物时,产率较高。典型的例子是环戊烯吗啡啉烯胺的酰基化 (式5)[9]。与乙酰化咪唑作用也可以使吗啡啉烯胺形成酰胺,酸化后得到酸 (式6)[10]

5.用作分析试剂,及树脂、蜡类、虫胶等的溶剂。[34]

广告位
本文来自网络,不代表吗啉_甲基吗啉_吗啉信息网立场,转载请注明出处:https://www.morpholine.vip/24302.html

作者: admin

上一篇
下一篇
联系我们

联系我们

181-3619-1160

在线咨询: QQ交谈

邮箱: 34331943@QQ.com

工作时间:周一至周五,9:00-17:30,节假日休息

关注微信
微信扫一扫关注我们

微信扫一扫关注我们

返回顶部
首页
找样品
产品
联系
搜索