
结构式
| 物竞编号 | 03g6 |
|---|---|
| 分子式 | c8h8o2 |
| 分子量 | 136.15 |
| 标签 |
茴香醛, 4-甲氧基甲醛, anisic aldehyde, aubepine, p-methoxybenzaldehyde, 助香剂, 修饰剂, 芳香族醛、酮及其衍生物 |
编号系统
cas号:123-11-5
mdl号:mfcd00003385
einecs号:204-602-6
rtecs号:bz2625000
brn号:471382
pubchem号:24891369
物性数据
1. 性状:无色油状液体
2. 相对密度:1.119 g/cm3
3. 熔点(℃):0
4. 沸点(℃):248
5. 闪点(℃):108
6. 燃点(℃,开杯):117.8
7. 溶解性:微溶于水、能与乙醇、混溶,易溶于丙酮和氯仿,溶于。
8. 相对密度(20℃,4℃):1.119115
9. 相对密度(25℃,4℃):1.029131
10. 常温折射率(n20):1.5731
11. 气相标准燃烧热(焓)(kj·mol-1):-4088.7
12. 气相标准声称热(焓)( kj·mol-1) :-202.7
13. 液相标准燃烧热(焓)(kj·mol-1):-4024.2
14. 液相标准声称热(焓)( kj·mol-1):-267.2
毒理学数据
1、急性毒性:大鼠经口ld50:1510mg/kg
大鼠经静脉注射ld50:680mg/kg
兔子皮肤ld50:>5gm/kg
豚猪经口ld50:1260mg/kg
2、其它多剂量毒性:大鼠经口tdlo:55220ug/kg/30d-i
3、致突变毒性:人体淋巴细胞双染色体交换测试系统:1mmol/l
小鼠淋巴细胞dna破坏测试系统:7020umol/l
生态学数据
暂无
分子结构数据
1、 摩尔折射率:39.68
2、 摩尔体积(cm3/mol):125.1
3、 等张比容(90.2k):309.0
4、 表面张力(dyne/cm):37.2
5、 极化率(10-24cm3):15.73
计算化学数据
1.疏水参数计算参考值(xlogp):无
2.氢键供体数量:0
3.氢键受体数量:2
4.可旋转化学键数量:2
5.互变异构体数量:无
6.拓扑分子极性表面积26.3
7.重原子数量:10
8.表面电荷:0
9.复杂度:104
10.同位素原子数量:0
11.确定原子立构中心数量:0
12.不确定原子立构中心数量:0
13.确定化学键立构中心数量:0
14.不确定化学键立构中心数量:0
15.共价键单元数量:1
性质与稳定性
1.其气体与空气形成爆炸性混合物。应穿戴防护眼镜、防护衣、防护手套。
2.存在于烟叶、烟气中。
3.天然存在于大茴香油、小茴香油、八角茴香油、莳萝油、金合欢油、玉米油等精油中。
4. 对光不太稳定,在空气中易氧化和变色而生成大茴香酸。
5.对甲氧基甲醛可以用来保护二醇、二硫醇、胺、羟基胺和二胺。
二醇的保护 对甲氧基甲醛可以很容易地通过二醇与醛反应生成缩醛,使用的催化剂可以是盐酸或者氯化锌,也可以用其它的方法如碘催化[1]、聚胺为载体的催化[2] (见式1)、三氯化铟催化[3]、硝酸铋催化[4]等。对甲氧基甲醛与l-半胱氨酸反应得到噻唑衍生物 (式2)[5]。

与氨基反应 对甲氧基甲醛可以与氨基反应形成席夫碱,经nabh4还原后形成二级胺 (式3)[6]。

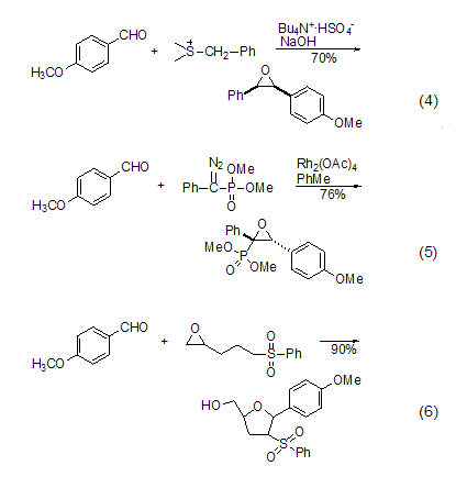
形成环氧乙烷衍生物 对甲氧基甲醛可以与硫叶立德反应,形成环氧乙烷衍生物 (式4)[7],也可以与重氮化合物反应得到此类衍生物 (式5)[8]。与环氧乙烷衍生物反应,还可以扩环得到呋喃环衍生物 (式6)[9]。

二酰基化反应 在溴化四丁基铵(tbatb)催化作用下,对甲氧基甲醛可以与酸酐反应形成二酰基化产物 (式7)[10]。

烯丙基化反应 由于对位甲氧基的强给电子作用,使得对甲氧基甲醛在三氟磺酸铋催化下与烯丙基三甲基硅烷反应,得到二烯丙基化的产物 (式8)[11]。

贮存方法
塑料桶200kg,5~25kg聚乙或聚丙塑料桶装,外加纸板桶。应避光贮存。
合成方法
生产方法:主要采用氯甲基化法。以甲醚为原料,在甲醛和氯化氢存在下,进行氯甲基化反应,生成对甲氧基氯化苄,然后与乌洛托品成盐,再经盐酸水解、分离、水洗、减压蒸馏而得。

用途
1.醛类合成香料。主要用作山楂、葵花、紫丁香等香精的香基。也是新刈草、银白金合欢花、金合欢、香水草等香精的调合香料。并且是铃兰香精的助香剂,桂花香精的修饰剂。
2.广泛应用于日化香精和食用香精配方中。作为中味型香料广泛用于配制花香型香精;也用于医药、食品及日用化学工业;作为无氰镀锌de添加剂的优良光亮剂。



微信扫一扫打赏
支付宝扫一扫打赏
