
结构式
| 物竞编号 | 02tf |
|---|---|
| 分子式 | c7h7cl |
| 分子量 | 126 |
| 标签 |
4-氯, 对氯, 1-氯-4-, 4-氯-1-甲基, 4-氯-1-, 4-chlorotoluene, p-chlorotoluene, 4-chloro-1-methylbenzene, 芳香族卤素衍生物 |
编号系统
cas号:106-43-4
mdl号:mfcd00000631
einecs号:203-397-0
rtecs号:xs9010000
brn号:1903635
pubchem号:暂无
物性数据
1.性状:无色液体,有特殊气味。[1]
2.熔点(℃):7.5[2]
3.沸点(℃):162[3]
4.相对密度(水=1):1.07[4]
5.相对蒸气密度(空气=1):4.37[5]
6.饱和蒸气压(kpa):0.35(20℃)[6]
7.燃烧热(kj/mol):-3754[7]
8.临界温度(℃):385.7[8]
9.临界压力(mpa):3.91[9]
10.辛醇/水分配系数:3.33[10]
11.闪点(℃):49;60(oc)[11]
12.引燃温度(℃):595[12]
13.爆炸上限(%):6.7[13]
14.爆炸下限(%):1.3[14]
15.溶解性:不溶于水,溶于乙醇、氯仿、,可混溶于。[15]
16.黏度(mpa·s,10ºc):1.0325
17.蒸发热(kj/kg,160.38ºc):306.22
18.体膨胀系数(k-1,30ºc):0.00092
19.常温折射率(n25):1.515230
20.相对密度(25℃,4℃):1.059630
21.液相标准热熔(j·mol-1·k-1):199.4
毒理学数据
1、急性毒性:大鼠经口ld50:2100mg/kg;大鼠ld50:4mg/kg;小鼠经口ld50:1900mg/kg;小鼠经吸入lc50:34mg/m3/2h;小鼠ld50:4mg/kg;豚鼠ld50:3750mg/kg;
2、其他多剂量毒性:大鼠经口tdlo:182mg/kg/26w-i;大鼠经静脉tdlo:25200mg/kg/2w-i;大鼠经口tdlo:72mg/kg/90d-i;
3.急性毒性[16]
ld50:3600mg/kg(大鼠经口)
lc50:34000mg/m3(小鼠吸入,2h)
生态学数据
1.该物质对环境可能有危害,建议不要让其进入环境。
2.生态毒性[17] lc50:5.2mg/l(48h)(青鳉)
3.生物降解性 暂无资料
4.非生物降解性 暂无资料
5.生物富集性[18] bcf:21.9~76.5(鲤鱼,接触浓度0.3ppm,接触时间8周);14~101.6(鲤鱼,接触浓度0.03ppm,接触时间8周)
分子结构数据
1、摩尔折射率:35.97
2、摩尔体积(cm3/mol):117.6
3、等张比容(90.2k):280.7
4、表面张力(dyne/cm):32.4
5、极化率:14.26
计算化学数据
1.疏水参数计算参考值(xlogp):无
2.氢键供体数量:0
3.氢键受体数量:0
4.可旋转化学键数量:0
5.互变异构体数量:无
6.拓扑分子极性表面积0
7.重原子数量:8
8.表面电荷:0
9.复杂度:62.8
10.同位素原子数量:0
11.确定原子立构中心数量:0
12.不确定原子立构中心数量:0
13.确定化学键立构中心数量:0
14.不确定化学键立构中心数量:0
15.共价键单元数量:1
性质与稳定性
1.稳定性[19] 稳定
2.禁配物[20] 强氧化剂
3.聚合危害[21] 不聚合
4.分解产物[22] 氯化氢
贮存方法
储存注意事项[23] 储存于阴凉、通风的库房。远离火种、热源。库温不宜超过37℃。保持容器密封。应与氧化剂分开存放,切忌混储。采用防爆型照明、通风设施。禁止使用易产生火花的机械设备和工具。储区应备有泄漏应急处理设备和合适的收容材料。
合成方法
其制备方法有以下几种。
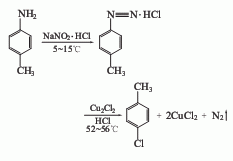
1.重氮化法
在反应釜中加入工业用盐酸和对甲基胺,釜内温度降至0℃,使对甲基胺生成盐酸盐,搅拌,加入亚硝酸钠溶液,使其发生重氮化反应,温度维持在0~5℃,时间约30min,重氮化反应完成后,将其加入到搅拌的氯化亚铜溶液中,逐渐升温到室温,在室温下搅拌2.5~3h,再加热到60℃,该反应物逐步分解成为氮气和对氯,然后用水蒸气蒸馏,收集对氯与水的混合液,进行分层,有机层用酸洗涤,再用水洗涤,干燥,进行蒸馏,收集158~162℃馏分为对氯,收率约70%~79%。

2.直接氯化法
经食盐干燥脱水的经计量槽计量后进入氯化反应器,计量后的氯气由反应器的底部通入,与氯气在一定温度下,以三氯化铁为催化剂进行环氯化,生成一氯氯化液,该氯化液用氮气赶去余气和氯化氢,再进行粗蒸,得到对氯和邻氯的混合物,其对、邻比随着催化剂和反应条件不同而不同,一般对、邻比为55∶45。
对氯和邻氯的分离可用精馏法、分子筛吸附法、精馏结晶联合法等。精馏结晶联合法,能耗较低,得到的对氯和邻氯含量均较高,如采用降膜冷冻结晶法,对氯的含量可达99%以上。

用途
1.用作染料、医药、有机合成的中间体,如合成乙胺嘧啶,芬那露的中间体,也用作溶剂及橡胶、合成树脂的溶剂。近大量用作硫氨基甲酸酯类除草剂的制造原料。
2.用于有机合成、染料中间体的制备,用作溶剂。[24]



微信扫一扫打赏
支付宝扫一扫打赏
