
结构式
| 物竞编号 | 03gg |
|---|---|
| 分子式 | c6h6o2 |
| 分子量 | 110.11 |
| 标签 |
1,4-二羟基, 鸡纳酚, 几奴尼, 氢醌, 对羟基酚, 1,4-二酚, 海得尔, 1,4-dihydroxybenzen, 1,4-benzenediol, quinol, hydroquinol, p-dihydroxybenzene, 酚、芳香醇及其衍生物 |
编号系统
cas号:123-31-9
mdl号:mfcd00002339
einecs号:204-617-8
rtecs号:mx3500000
brn号:605970
pubchem号:24278475
物性数据
1.性状:白色结晶[1]
2.熔点(℃):170.5[2]
3.沸点(℃):285[3]
4.相对密度(水=1):1.33[4]
5.相对蒸气密度(空气=1):3.81[5]
6.饱和蒸气压(kpa):0.13(132.4℃)[6]
7.燃烧热(kj/mol):-2849.8[7]
8.临界温度(℃):549.9[8]
9.临界压力(mpa):7.45[9]
10.辛醇/水分配系数:0.59[10]
11.闪点(℃):165(cc)[11]
12.引燃温度(℃):516[12]
13.爆炸上限(%):15.3[13]
14.爆炸下限(%):1.6[14]
15.溶解性:溶于水,易溶于乙醇、。[15]
16.相对密度(20℃,4℃):1.32815
17.晶相相标准燃烧热(焓)(kj·mol-1):-2854.1
18.晶相标准声称热(焓)( kj·mol-1):-364.5
19.气相标准燃烧热(焓)(kj·mol-1):-2953.3
20.气相标准声称热(焓)( kj·mol-1) :-265.3
21.气相标准熵(j·mol-1·k-1) :344.28
22.气相标准生成自由能( kj·mol-1):-179.6
23.气相标准热熔(j·mol-1·k-1):123.60
毒理学数据
1.急性毒性[16] ld50:320mg/kg(大鼠经口)
2.刺激性[17] 人经皮:2%,轻度刺激;5%,重度刺激。
3.亚急性与慢性毒性[18] 动物亚急性中毒表现为溶血性黄疸、贫血、白细胞增多、红细胞脆性增加、低血糖、皮毛无光泽和明显的恶病质。
4.致突变性[19] 微生物致突变性:鼠伤寒沙门菌2μmol/皿。微核试验:人淋巴细胞75μmol/l。性染色体缺失和不分离:人淋巴细胞6mg/kg。dna损伤:人骨髓500mol/l。
5.致畸形[20] 兔孕后6~14d经口给予低中毒剂量(tdlo)1950mg/kg,致颅面部(包括鼻、舌)、肌肉骨骼系统发育畸形。
6.致癌性[21] iarc致癌性评论:组3,对人及动物致癌性证据不足。
7.其他[22] 大鼠经口低中毒剂量(tdlo):2500mg/kg(孕1~22d),致植入后的死亡率升高。大鼠皮下低中毒剂量(tdlo):5mg/kg(51d,雄性),影响睾丸、附睾、输精管、前列腺、精囊等,对雄性生育指数有影响。
生态学数据
1.生态毒性[23] lc50:0.1~0.18mg/l(黑头呆鱼);0.05mg/l(水蚤)
2.生物降解性 暂无资料
3.非生物降解性[24] 空气中,当羟基自由基浓度为5.00×105个/cm3时,降解半衰期为16.8h(理论)。
4.生物富集性[25] bcf:40(理论);40~65(实验,24h)
分子结构数据
1、摩尔折射率:30.01
2、摩尔体积(cm3/mol):86.2
3、等张比容(90.2k):237.3
4、表面张力(dyne/cm):57.1
5、极化率(10-24cm3):11.89
计算化学数据
1.疏水参数计算参考值(xlogp):无
2.氢键供体数量:2
3.氢键受体数量:2
4.可旋转化学键数量:0
5.互变异构体数量:3
6.拓扑分子极性表面积40.5
7.重原子数量:8
8.表面电荷:0
9.复杂度:54.9
10.同位素原子数量:0
11.确定原子立构中心数量:0
12.不确定原子立构中心数量:0
13.确定化学键立构中心数量:0
14.不确定化学键立构中心数量:0
15.共价键单元数量:1
性质与稳定性
1.可燃,在空气中见光易变成褐色,碱性溶液中氧化更快。
2.中等毒性。在动物实验中,反复给予30-50mg/kg剂量可引起急性黄色肝萎缩,除严重损伤肾脏外,并能发生异常的色素沉着。所以,有时用它涂在人体局部可除去雀斑。服用1g对二酚能刺激食道而引起耳鸣、恶心、呕吐、腹痛、虚脱。服用5g可致死。此外,长期接触对二酚蒸气、粉尘或烟雾可刺激皮肤、黏膜,并引起眼的水晶体浑浊。操作现场空气中高容许浓度2mg/m3。生产设备应闭,操作人员应穿戴好防护用具。
3.在动物试验中,反复给予30~50mg/kg剂量时,则可引起急性黄色肝萎缩,除引起严重的肝损伤外,并能发生异常的色素沉着。服用1g本品时,能刺激食道,而引起耳鸣、恶心、呕吐、腹痛、虚脱;服用5g时可致死。
4.氢醌有毒,可燃。氢醌的还原性很强,极易被氧化成对醌。氢醌有毒,可透过皮肤引起中毒。动物经口致死量为0.08~0.2g/kg。人若口服1g以上就会出现急性中毒症状,服用59g可致死。
5.稳定性[26] 稳定
6.禁配物[27] 酰基氯、酸酐、碱、强氧化剂、强酸
7.避免接触的条件[28] 光照、接触空气
8.聚合危害[29] 不聚合
贮存方法
1.用聚乙烯塑料袋包装,每袋5kg,每4袋装一木箱;或用圆木箱内衬塑料袋包装,每桶50kg。贮存于阴凉、干燥处,避免日光曝晒,防潮、防热。按有毒物品规定贮运。
2.储存注意事项[30] 储存于阴凉、通风的库房。远离火种、热源。包装要求密封,不可与空气接触。应与氧化剂、酸类、碱类、食用化学品分开存放,切忌混储。配备相应品种和数量的消防器材。储区应备有合适的材料收容泄漏物。
合成方法
1.将胺、二氧化锰和按摩尔比为1∶3∶4加入反应釜内,加料时应在夹套中通冷冻水控制温度在10℃以下。搅拌下反应10h,反应温度逐渐升至25℃左右,生成醌。然后在反应物内通入水蒸气进行水蒸气蒸馏,蒸出的醌与水蒸气经部分冷凝后流入还原釜,再加入与醌的摩尔比为1∶0.7的铁粉,加热至90~100℃,搅拌下反应3~4h,还原反应的产物为对二酚。还原产物经过滤除去氧化铁渣后,进行减压脱水浓缩。然后加入焦亚钠、活性炭、锌粉,加热至沸腾进行脱色。趁热过滤后,滤液缓缓降温至30℃以下,对二酚以针状结晶析出,经离心脱水后,加入沸腾床于80℃下进行干燥,即得成品。

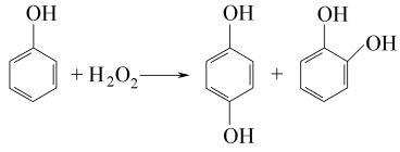
2.酚羟基化法 采用过氧化氢作羟基化剂,反应在催化量的无机强酸或二价铁盐或钴盐存在下进行。总反应式为:

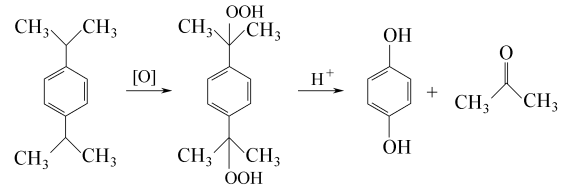
3.二异丙氧化法 利用过氧化物进行氧化反应,制得氢醌。其反应式如下:

4.照相级氢醌的制法 是用活性炭对溶解于无盐水中而形成的氢醌溶液进行脱色处理,然后于5~10℃下重新结晶,经离心分离后置于非氧化气氛中干燥制成。
用途
1.对二酚主要用作照相的显影剂。对二酚及其烷基化物广泛用于单体贮运过程添加的阻聚剂,常用的浓度约为200ppm。对二酚一甲醚是食用油抗氧剂bha的中间体;对二酚二甲醚是染料、有机颜料和香料的中间体;对二酚二是感光色素、染料的中间体。对二酚还用于制取n,n’-二基对二胺,是用于橡胶及汽油的抗氧剂和抗臭剂。
2.还用作照相显影剂,橡胶和汽油的抗氧剂,染料中间体等。
3.处理领域,将氢醌加于闭路加热和冷却系统的热水和冷却水中,对水侧金属能起缓蚀作用。氢醌用炉水的除氧剂,在锅炉水预热除氧时将氢醌加入其中,以除去残余溶解氧。
4.乙烯、丁二烯、异戊二烯、醋酸乙烯、丙烯腈等树脂或橡胶单体的阻聚剂,常用的浓度约为200×10-6还用作制取黑白显影剂、蒽醌染料、偶氮染料、橡胶防老剂、稳定剂和抗氧剂等。
5.用作乙烯、丙烯酸酯类、接枝氯丁胶黏剂、丙烯腈及其他乙烯基单体的阻聚剂及高温乳液聚合反应的终止剂或稳定剂。也用作酚醛丁腈胶黏剂的抗氧剂,汽油用阻凝剂,电影胶片、照相、x射线片的显影剂,橡胶防老剂,油脂及酚醛丁腈胶黏剂的抗氧剂,涂料和清漆的稳定剂等。也是制造蒽醌染料、偶氮染料、医药及染发剂的原料。
6.用作照相制版中的显影剂,用于电镀添加。
7.用作洗涤剂的缓蚀剂、稳定剂和抗氧剂等,还用于化妆品的染发剂。
8.制取黑白显影剂、蒽醌染料、偶氮染料、橡胶防老剂、稳定剂和抗氧剂。[31]



微信扫一扫打赏
支付宝扫一扫打赏
