
结构式
| 物竞编号 | 02xy |
|---|---|
| 分子式 | c3h3n3o3 |
| 分子量 | 129.07 |
| 标签 |
氰尿酸, 三聚氰酸, 1,3,5-三嗪-2,4,6-(1h,3h,5h)三酮, 2,4,6-三(2'-羟基-4'-正丁氧基基)-1,3,5-三嗪, s-三嗪-2,4,6-三醇, 对称三羟基三氮杂, 三嗪-5, 异氰脲酸, tricarbimide, tricyanic acid, trihydroxy-1,3,5-triazine, trihydroxycyanidine, ,4,6-trihydroxy-s-triazine, ,4,6-trioxohexahydro-1,3,5-triazine, [1,3,5]triazinane-2,4,6-trione, 杂环化合物 |
编号系统
cas号:108-80-5
mdl号:mfcd00082990
einecs号:211-620-8
rtecs号:xz1800000
brn号:126982
pubchem号:24851182
物性数据
1. 性状:无味白色结晶
2. 密度(g/ml,20℃):1.768
3. 相对蒸汽密度(g/ml,空气=1):未确定
4. 熔点(ºc):>360
5. 沸点(ºc,常压):未确定
6. 沸点(ºc, mm hg):未确定
7. 折射率(d20):未确定
8. 闪点(ºc):未确定
9. 比旋光度(ºc):未确定
10. 自燃点或引燃温度(ºc): 未确定
11. 蒸气压(mmhg, ºc):未确定
12. 饱和蒸气压(kpa,ºc):未确定
13. 燃烧热(kj/mol):未确定
14. 临界温度(ºc):未确定
15. 临界压力(kpa):未确定
16. 油水(辛醇/水)分配系数的对数值:未确定
17. 爆炸上限(%,v/v):未确定
18. 爆炸下限(%,v/v):未确定
19. 溶解性:微溶于水,微溶于乙醇,溶于浓、热无机酸。
毒理学数据
1、 急性毒性:大鼠经口ld50:7700 mg/kg
生态学数据
该物质对水有稍微的危害。
分子结构数据
1、 摩尔折射率:26.17
2、 摩尔体积(cm3/mol):64.3
3、 等张比容(90.2k):234.7
4、 表面张力(dyne/cm):176.6
5、 极化率(10-24cm3):10.37
计算化学数据
1.疏水参数计算参考值(xlogp):-1.2
2.氢键供体数量:3
3.氢键受体数量:3
4.可旋转化学键数量:0
5.互变异构体数量:5
6.拓扑分子极性表面积87.3
7.重原子数量:9
8.表面电荷:0
9.复杂度:136
10.同位素原子数量:0
11.确定原子立构中心数量:0
12.不确定原子立构中心数量:0
13.确定化学键立构中心数量:0
14.不确定化学键立构中心数量:0
15.共价键单元数量:1
性质与稳定性
避免与强氧化剂接触。
在动物试验中证明急性毒性不明显,大鼠灌胃30mg/kg,每周六次,连续6个月,使体重增长延缓。但局部注射可引起肉瘤。对人体皮肤及黏膜有刺激性,在330℃以上分解产生氢氰酸。生产过程中应避免产生局部过热现象。操作人员应穿戴防护用具。
贮存方法
储存于阴凉、通风的库房。远离火种、热源。应与氧化剂分开存放,切忌混储。储区应备有合适的材料收容泄漏物。
采用塑料桶或内衬塑料袋的铁桶包装,防热、防晒、防潮。按剧毒化学品规定贮运。
合成方法
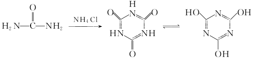
1.由尿素聚合而得。将尿素与氯化铵混合,加热融熔,搅拌升温至210℃溶液变稠,升温至230℃以上融熔物渐渐固化,翻炒均匀,继续升温至250℃,保温15min。冷至100℃,加少量水浸泡,降至常温,在水中浸泡后粉碎,滤出固体物。将水和盐酸加入固体物中,搅拌加热至110℃,保温3h,分次补加盐酸和水,降温至30℃,水洗至中性,过滤,滤饼用水洗涤,干燥得成品。工业品纯度≥95%,每吨产品消耗尿素1200kg。

2.尿素高温热解法 以尿素为原料,经高温热解制得粗三聚氰酸,再经酸化、过滤、水洗、干燥即制得三聚氰酸成品。反应式如下:

热解工序 尿素与氯化铵以1∶0.04的比例投入不含铁质的器皿中,逐个放在小车上,用液压机将满载物料的小车顶入具有温度梯度的隧道窑内(小车以15~20min的间隔进窑),经预热、升温、恒温、降温四个不同区域,尿素被熔化、脱氨聚合生成65%~85%的粗品三聚氰酸。四个不同温度区的控制温度分别为1点260℃、2点290℃、3点270℃、4点150℃,物料在窑内的时间为6~7h。
精制工序 将粉碎后的粗品三聚氰酸加入装有含量为23%~25%溶液的反应釜(夹套搪瓷反应釜)中,用蒸汽加热至170℃煮沸反应,使副产物三聚氰酸一酰胺、三聚氰酸二酰胺重新转化为三聚氰酸。经过7~8h反应后,向夹套中通冷却水,将物料冷却至90℃以下,然后放入洗料池中,水洗至ph>4,抽滤得水分含量<25%的湿品三聚氰酸。
烘干工序 采用箱式烘干器干燥。物料初水分含量<25%,干燥后的终水分≤0.5%。
用途
主要用于制新型漂白剂、消毒杀菌剂、水处理剂以及树脂、涂料和金属氰化缓蚀剂等。
用于制造氰尿酸-甲醛树脂、环氧树脂、蜜胺树脂等。作为有机合成原料,用于制备氰酸、三氯异氰尿酸、二氯异氰尿酸钠(或钾)等氯代衍生物;也用于制造农药杀虫剂及除草剂、胶黏剂、聚酯及泡沫塑料阻燃剂、油漆涂料、抗油绝缘增塑剂、高温玻璃钢、层压塑料及橡胶热稳定剂等。此外,还可用作织物及纸张漂白剂、农用灭菌剂、医院及游泳池水等的消毒剂。
用于合成氯代衍生物,还可用作游泳池氯处理剂的稳定剂。尼龙、聚酯、聚氨酯泡沫塑料的阻燃剂,丁二烯橡胶热稳定剂等。



微信扫一扫打赏
支付宝扫一扫打赏
