
结构式
| 物竞编号 | 03lu |
|---|---|
| 分子式 | c14h10n2o2 |
| 分子量 | 238.25 |
| 标签 |
1,4-二氨基-9,10-蒽二酮, 1,4-二氨基蒽醌(氧化体), 杜南醇紫2r, 蒽醌-1,4-二胺, 苏丹紫, 1,4-diamino-10-anthracenedione, 1,4-diamino-9,10-anthracenedione, 1,4-diamino-9,10-anthraquinone, 芳香族含氮化合物及其衍生物 |
编号系统
cas号:128-95-0
mdl号:mfcd00001224
einecs号:204-922-6
rtecs号:cb6300000
brn号:2216556
pubchem号:24862847
物性数据
1. 性状:深紫色结晶(在吡啶中)或紫色结晶。
2. 熔点(℃):268
3. 溶解性:溶于、吡啶、硝基、胺,稍溶于热醋酸、乙醇。在浓中溶液几乎无色,加硼酸后显蓝红色。
毒理学数据
1、皮肤/眼睛刺激:兔子眼睛标准德雷兹染眼实验:500mg/24h 对眼睛有轻微的刺激作用。
2、急性毒性:大鼠经口ld5o:5790mg/kg
大鼠经腹膜ld5o:250mg/kg
3、致突变:沙门氏菌基因突变测试系统:100ug/plate
微生物基因突变测试系统:12800ug/l
生态学数据
暂无
分子结构数据
1、 摩尔折射率:67.14
2、 摩尔体积(cm3/mol):163.6
3、 等张比容(90.2k):490.7
4、 表面张力(dyne/cm):80.9
5、 极化率(10-24cm3):26.61
计算化学数据
1.疏水参数计算参考值(xlogp):2.6
2.氢键供体数量:2
3.氢键受体数量:4
4.可旋转化学键数量:0
5.互变异构体数量:8
6.拓扑分子极性表面积86.2
7.重原子数量:18
8.表面电荷:0
9.复杂度:346
10.同位素原子数量:0
11.确定原子立构中心数量:0
12.不确定原子立构中心数量:0
13.确定化学键立构中心数量:0
14.不确定化学键立构中心数量:0
15.共价键单元数量:1
性质与稳定性
1.基本性质
深紫色针状结晶。熔点268℃。溶于乙醇、和硝基,微溶于水和热。
2.人体ld1~2g/kg。大鼠腹腔注射ld100500mg/kg。参见1,5-二氨基蒽醌。
贮存方法
用铁桶内衬塑料袋包装,每桶净重50kg。贮存于通风处,防晒、防潮。
合成方法
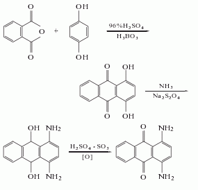
生产方法简述
由对二酚与酐缩合得1,4-二羟基蒽醌,然后氨化得1,4-二氨基蒽醌隐色体,再以发烟氧化而得。原料消耗定额:酐2131kg/t、对二酚887kg/t、氨水(20%)10788kg/t、发烟3580kg/t。

用途
主要用于制备蒽醌系还原染料、分散染料、酸性染料等,如还原橄榄r、还原棕br、分散紫h-frl、分散翠蓝h-gl等染料。其本身可作为分散紫染料使用。



微信扫一扫打赏
支付宝扫一扫打赏
