
结构式
| 物竞编号 | 03md |
|---|---|
| 分子式 | c10h6o2 |
| 分子量 | 158 |
| 标签 |
1,4-萘二酮, α-萘醌, 1,4-萘醌, 1,2-萘二酮, β-萘醌, 1,4-萘二醌, 1,4-萘喹酮, p-naphthoquinone, α-naphthoquinone |
编号系统
cas号:130-15-4
mdl号:mfcd00001676
einecs号:204-977-6
rtecs号:ql7175000
brn号:878524
pubchem号:24858619
物性数据
1. 性状:亮黄色针状结晶。能随水蒸气挥发,有醌气味。
2. 密度(g/ml ,25/4℃):1.422
3. 熔点(℃):128.5
4. 溶解性:易溶于热的乙醇、、、氯仿、二硫化碳和,溶于碱性氢氧化物溶液,微溶于石油醚,少量溶于冷水。
毒理学数据
暂无
生态学数据
暂无
分子结构数据
1、 摩尔折射率:42.90
2、 摩尔体积(cm3/mol):122.5
3、 等张比容(90.2k):330.5
4、 表面张力(dyne/cm):52.9
5、 极化率(10-24cm3):17.00
计算化学数据
1.疏水参数计算参考值(xlogp):无
2.氢键供体数量:0
3.氢键受体数量:2
4.可旋转化学键数量:0
5.互变异构体数量:无
6.拓扑分子极性表面积34.1
7.重原子数量:12
8.表面电荷:0
9.复杂度:227
10.同位素原子数量:0
11.确定原子立构中心数量:0
12.不确定原子立构中心数量:0
13.确定化学键立构中心数量:0
14.不确定化学键立构中心数量:0
15.共价键单元数量:1
性质与稳定性
1. 具有毒性和刺激性。
2. 加热至100℃即可升华。强烈加热能分解爆炸。
贮存方法
暂无
合成方法
用1-萘酚、1-萘胺、1,4-氨基萘酚、萘等作原料,经过氧化均可得到萘醌。氧化剂可采用铬酐、重铬酸钠、重铬酸钾、空气等。工业上较为有利的方法是用萘在五氧化二钡存在下催化氧化生产萘醌。
用途
1. 用于蒽醌生产。萘醌加氯反应生成的2,3-二氯萘醌,是一种重要的农用杀菌剂,用于防治小麦腥黑穗病、稻瘟病、马铃薯晚疫病和蔬菜幼苗的立枯病等。
2. 主要是作为亲二烯体通过diels-alder环加成反应用于制备各种芳香环化合物,还可以实现胺化反应、烯丙化反应、环低聚反应和thiele-winter化反应制备其它类型芳烃化合物。
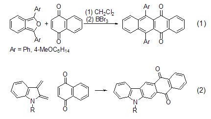
由于1-位和4-位两个羰基的吸电子效应,因此1,4-萘醌是一个非常有效的亲二烯体,能够与电负性二烯化合物发生diels-alder环加成反应,获得并多环化合物。如与并呋喃的环加成反应制备并四醌 (式1)[1],或与2,3-乙烯基吲哚反应制备并五环 (式2)[2]。

1,4-萘醌还为合成2h-异吲哚-4,7-二酮提供了一种新的方法 (式3)[3]。

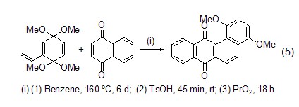
在合成具有生物活性的化合物方面,1,4-萘醌还具有非常重要的作用。如与吡咯的反应为制备抗生素提供了很好的前体 (式4)[4],与乙烯基醌缩醛的diels-alder反应则为合成非线形并多环抗生素提供了一种很好的方法 (式5)[5]。


烯丙基氰化物也能与1,4-萘醌发生环加成反应 (式6)[6]。3-烯基吡咯作为二烯也能与1,4-萘醌发生反应得到吲哚化合物 (式7)[7]。




微信扫一扫打赏
支付宝扫一扫打赏
