
结构式
| 物竞编号 | 03nh |
|---|---|
| 分子式 | c10h7no2 |
| 分子量 | 173.17 |
| 标签 |
β-nitroso-α-naphthol, 2-亚硝基-1-萘醇, β-亚硝基-α-萘酚, 芳香化合物 |
编号系统
cas号:132-53-6
mdl号:mfcd00003932
einecs号:205-064-5
rtecs号:暂无
brn号:1867919
pubchem号:ql4550000
物性数据
1. 性状:黄色针状结晶
2. 熔点(℃):162-164
3. 溶解性:溶于甲醇、乙醇、、丙酮,稍溶于醚、、氯仿和二硫化碳,不溶于水。溶于有机溶剂叶橙黄色,溶于浓呈深红色,能随水蒸气挥发。
毒理学数据
急性毒性数据:
大鼠经口ld:>500mg/kg
致肿瘤数据:
大鼠经口tdlo:31mg/kg/1y-i
生态学数据
暂无
分子结构数据
五、分子性质数据:
1、 摩尔折射率:48.28
2、 摩尔体积(cm3/mol):135.7
3、 等张比容(90.2k):361.9
4、 表面张力(dyne/cm):50.5
5、 极化率(10-24cm3):19.14
计算化学数据
1.疏水参数计算参考值(xlogp):无
2.氢键供体数量:1
3.氢键受体数量:3
4.可旋转化学键数量:0
5.互变异构体数量:3
6.拓扑分子极性表面积49.7
7.重原子数量:13
8.表面电荷:0
9.复杂度:195
10.同位素原子数量:0
11.确定原子立构中心数量:0
12.不确定原子立构中心数量:0
13.确定化学键立构中心数量:0
14.不确定化学键立构中心数量:0
15.共价键单元数量:1
性质与稳定性
在有机溶剂中显橙色,浓中显橙红色。与 co3+、 zro2+、 fe2+ 等形成黄或橙红色的不溶于水的配合物。
贮存方法
储存于阴凉干燥处密封保存。
合成方法
生产方法简介
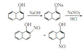
1.由1-萘酚经亚硝化而得。1.亚硝化 将氢氧化钠溶于水后,在搅拦下加入1-萘酚。过滤,滤液保持在0-5℃下,加旱灾亚硝酸钠水溶液,加完再慢慢加入。然后用1:4的稀盐酸调整ph,使刚果红试纸呈蓝色为止。用淀粉碘化钾试纸控制点,继续搅拌半小时,滤出硝化物,水洗至不呈酸性为止,干燥。2.除去异构物 亚硝化还生成4-亚硝基-1-萘酚,可用下法除去即把氢氧化钾溶于酒精后,在搅拌下慢慢加入干燥的硝化物,此时反应温度保持在60℃,加毕,继续搅拌10min。冷却,滤出粗品,加入乙醇浸泡,过滤。后精制即得成品。
2. 搅拌下将α – 萘酚加到氢氧化钠水溶液中,滤去不溶物。控制滤液温度为0~5℃,依次加入亚硝酸钠溶液和醋酸,然后再用1∶ 4的稀盐酸调狆 犎值,使刚果红试纸呈蓝色,用淀粉碘化钾试纸控制反应终点。反应结束后继续搅拌半小时,过滤,然后用水洗涤硝化物结晶至不呈酸性,干燥。将干燥的硝化物结晶在搅拌下慢慢地加到氢氧化钾的乙醇溶液中,保持温度为60℃,之后,继续搅拌10min,静置自然冷却,过滤所得结晶用乙醇浸泡后再过滤,以除去异构物
将所得结晶溶于热的蒸馏水中,加入活性炭脱色,搅拌下加入盐酸至滤液ph值为5,析出的沉淀用蒸馏水洗涤一次,再用乙醇重结晶,即得成品。
反应过程式为:

用途
1.用于测定钴;锆;铜;铁和钯。也可用于有机合成。
2.用作光度法测定钴、锆等的显色剂。也用作钯等金属离子的萃取剂。还用作有机合成中间体。



微信扫一扫打赏
支付宝扫一扫打赏
