
结构式
| 物竞编号 | 03p2 |
|---|---|
| 分子式 | c4h6o6 |
| 分子量 | 150.09 |
| 标签 |
葡萄酸;消旋;二羟基丁二酸;外消旋, 2,3-二羟基丁二酸, racemic acid, racemic tartaric acid, parratartaric acid, 2,3-dihydroxysuccinic acid, tartaricacid, 食品和饲料添加剂, 食品酸味剂, 食品添加剂, 酸度调节剂, 酸性溶剂 |
编号系统
cas号:133-37-9
mdl号:mfcd00071626
einecs号:205-105-7
rtecs号:暂无
brn号:1725148
pubchem号:24845619
物性数据
1.性状:白色结晶,无臭,有酸味。系左旋与右旋的等量混合物。2.溶解性:易溶于水和乙醇,微溶于、氯仿,。不溶于。3.相对密度(d254) :1.788(一水合物)。4.熔点(℃):206(210℃分解)、203.4(一水合物)。5.闪点:2106. 沸点(ºc):399.3
毒理学数据
急性毒性:lc50:4360mg/kg(小鼠经口)有刺激性
生态学数据
暂无
分子结构数据
五、分子性质数据:
1、 摩尔折射率:26.69
2、 摩尔体积(cm3/mol):79.5
3、 等张比容(90.2k):263.1
4、 表面张力(3.0 dyne/cm):119.4
5、 极化率(0.5 10-24cm3):10.58
计算化学数据
1、 疏水参数计算参考值(xlogp):-1.9
2、 氢键供体数量:4
3、 氢键受体数量:6
4、 可旋转化学键数量:3
5、 互变异构体数量:
6、 拓扑分子极性表面积(tpsa):115
7、 重原子数量:10
8、 表面电荷:0
9、 复杂度:134
10、同位素原子数量:0
11、确定原子立构中心数量:0
12、不确定原子立构中心数量:2
13、确定化学键立构中心数量:0
14、不确定化学键立构中心数量:0
15、共价键单元数量:1
性质与稳定性
1.本品低毒。其酸性较强,对牙齿有腐蚀性,据报道,操作人员在浓度为1.1mg/m3的环境中工作时,会出现牙齿损伤,而且引起胃炎。因此,操作现场要有良好的通风条件,生产设备要做到无泄漏。
2. 存在于烟叶中。
贮存方法
1.贮存,应密封保存。
2.用编织袋或麻袋内衬塑料袋包装,每袋净重25kg或50kg。远离氧化剂和火源,不能与液碱存放一起,注意防雨防潮,存放于干燥阴凉处。按一般化学品规定贮运。
合成方法
的工业生产方法有提取法、化学合成法、半合成法和发酵法四种。
1. 提取法
将5份粗酒石、1~1.5份浓盐酸加入100份水中,加热使之溶解,并趁热过滤。滤液冷却后析出氢钾结晶。将20份氢钾与100份100℃的水,缓慢加入碳酸钙至ph值为7.0,再加入氯化钙得钙,过滤并用冷水洗涤干净。在钙沉淀中加入4倍的水,再缓慢加入酸解,过滤除去沉淀。滤液用活性炭于60~70℃下脱色,过滤后于80℃下减压浓缩。冷却、结晶,后于非铁容器中用水重结晶得成品。
2. 化学合成法
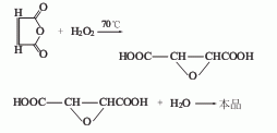
以顺丁烯二酸和过氧化氢为原料,与70℃下转化成环氧丁二酸,再于100℃下水解即得dl-。
3. 半合成法
半合成法是化学合成法与酶法(发酵法)的组合,即先由上述合成法制得环氧琥珀酸,再由琥珀酸诺卡氏菌所含的开环酶将其转化为右旋l(+)。
4.顺酐氧化法 顺丁烯二酸酐与过氧化氢溶液在钨酸作用下进行反应,生成环氧丁二酸,然后经水解,得,再经冷却、结晶、分离和干燥得纯品。

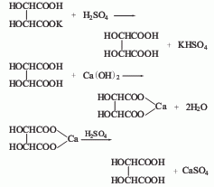
5.酒石法 以酿造葡萄酒时的粗酒石为原料,经石灰乳处理成钙,再经酸化而得。

6.d型主要采用酸解法。在葡萄酒的发酵槽边结晶析出的颗粒为氢钾。将其加盐酸溶解后,分离出氯化钾,再与碳酸钙作用得钙沉淀,经水洗,加入,除去沉淀钙,用活性类脱色,减压蒸发,浓缩、结晶而得。
7. 用富马酸或马来酸进行氧化而得,也可用乙二醛与氢氰酸反应后酸水解而得。
用途
1.作酸味剂,酸度比柠檬酸强1.2~1.3倍。有较高的溶解度,对金属离子的螯合能力强,可用于各类食品,按生产需要适量使用。对酒友增香作用,但比柠檬酸弱。一般与柠檬酸或苹果酸等其他有机酸合用。
2.生化研究。检定钙和钾。测定钙和锶。定性和定量分析用掩蔽剂。有机合成。
3.用作抗氧化增效剂、鞣制剂、螯合剂、药剂。广泛用于医药、食品、制革、纺织等工业。在低温时对水的溶解度低,易生成不溶性的钙盐,用时需加注意。
4.在电解液中用来调整ph值,用于溶解锰及用作氰化镀铜的光亮剂,也用作化学镀的络合剂.



微信扫一扫打赏
支付宝扫一扫打赏
