4-氨基安替比林

广告位

4-氨基安替比林结构式

结构式

物竞编号 01tb
分子式 c11h13n3o
分子量 203.24
标签

1,5-二甲基-2-基-4-氨基-3-吡唑酮,

4-氨基-1,2-二氢-1,5-二甲基-2-基-3h-吡唑-3-酮,

4-氨基-2,3-二甲基-1-基代吡唑啉酮-[5],

4-氨基安替比林结晶,

4-氨基安替吡啉,

4-氨基安替比林,

1,5-dimethyl-2-phenyl-4-aminopyrazoline,

4-amino-2,3-dimethyl-1-phenyl-3-pyrazolin-5-one,

ampyrone

编号系统

cas号:83-07-8

mdl号:mfcd00003145

einecs号:201-452-3

rtecs号:cd2480000

brn号:181635

pubchem号:24890855

物性数据

1.       性状:淡黄色结晶

2.       密度(g/ml,25/4℃):0.8

3.       相对蒸汽密度(g/ml,空气=1):不确定

4.       熔点(ºc):109

5.       沸点(ºc,常压):不确定

6.       沸点(ºc,5.2kpa):不确定

7.       折射率:不确定

8.       闪点(ºc):不确定

9.       比旋光度(º):不确定

10.    自燃点或引燃温度(ºc):不确定

11.    蒸气压(kpa,25ºc):不确定

12.    饱和蒸气压(kpa,60ºc):不确定

13.    燃烧热(kj/mol):不确定

14.    临界温度(ºc):不确定

15.    临界压力(kpa):不确定

16.    油水(辛醇/水)分配系数的对数值:不确定

17.    爆炸上限(%,v/v):不确定

18.    爆炸下限(%,v/v):不确定

19.    溶解性:溶于水、和乙醇,微溶于

毒理学数据

1、急性毒性:

大鼠口径ld50:1700 mg/kg;大鼠腹腔ld50:1200 mg/kg

小鼠口径lc50:800 mg/kg;小鼠腹腔lc50:270 mg/kg

2、致畸性

大肠杆菌:312 ug/well;沙门氏菌:5 umol/plate

生态学数据

暂无

分子结构数据

1、   摩尔折射率:58.10

2、   摩尔体积(cm3/mol):168.3

3、   等张比容(90.2k):442.1

4、   表面张力(dyne/cm):47.5

5、   极化率(10-24cm3):23.03

计算化学数据

1、  疏水参数计算参考值(xlogp):0.1

2、  氢键供体数量:1

3、  氢键受体数量:3

4、  可旋转化学键数量:1

5、  互变异构体数量:2

6、  拓扑分子极性表面积(tpsa):49.6

7、  重原子数量: 15

8、  表面电荷:0

9、  复杂度:305

10、    同位素原子数量:0

11、    确定原子立构中心数量:0

12、    不确定原子立构中心数量:0

13、    确定化学键立构中心数量:0

14、    不确定化学键立构中心数量:0

15、    共价键单元数量:1

性质与稳定性

1.在碱性条件及氧化剂存在下,与酚类化合物反应生成红色染料。

2.口服有害,对眼睛、呼吸系统及皮肤有刺激性。

贮存方法

充氩气密封阴凉干燥避光保存。

合成方法

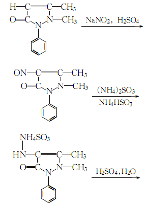
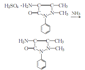
1.安替比林经亚硝酸钠亚硝化,经亚氢铵与亚铵还原,经水解,后用液氨中和,得到4-氨基安替比林。工艺过程如下:安替比林与50%配成溶液,其中含安替比林38%-40%、含11%-12%。将此溶液与亚硝酸钠溶液同时流入亚硝化反应器,控制两者的流量,控制反应温度45-50℃,搅拌下反应,并用碘粉淀粉试纸测反应终点以调节水流量。亚硝化生成的亚硝基安替比林立即流入还原罐,与罐内配好的还原剂亚氢铵与亚铵的水溶液反应。取样测ph值及还原度,ph值在5.4-5.8之间,还原度约为15(即1ml还原液消耗0.1n碘液的毫升数)。还原结束后,ph值调节至5.8-6.0,还原度为5左右。升温至100℃,水解3h。降温至80℃,用液氨中和至ph7-7.5,静置分层。分去废水,得4-氨基安替比林油(含量80%以上)。将其压入结晶罐,搅拌、冷却结晶、过滤,得4-氨基安替比林。

2. 安替吡啉经亚硝化,再经亚氢铵和亚铵还原、水解,后用液氨中和可得4-氨基安替吡啉。

用途

1.用以测定醇和酚及胺和其同系物。色谱测定烷基酚。    

2.用作光度法测定酚、醇、胺类有机物的显色剂。并用作极谱法测定酚类化合物的试剂。

扩展阅读https://www.newtopchem.com/archives/177
扩展阅读https://www.bdmaee.net/wp-content/uploads/2022/08/20.jpg
扩展阅读https://www.bdmaee.net/wp-content/uploads/2022/08/134-4.jpg
扩展阅读https://www.cyclohexylamine.net/lupragen-n203-teda-l33e/
扩展阅读https://www.cyclohexylamine.net/dabco-mp601-delayed-equilibrium-catalyst/
扩展阅读https://www.newtopchem.com/archives/40086
扩展阅读https://www.cyclohexylamine.net/category/product/page/35/
扩展阅读https://www.bdmaee.net/wp-content/uploads/2021/05/1-3.jpg
扩展阅读https://www.newtopchem.com/archives/979
扩展阅读https://www.newtopchem.com/archives/1598

广告位
本文来自网络,不代表吗啉_甲基吗啉_吗啉信息网立场,转载请注明出处:https://www.morpholine.vip/28935.html

作者: admin

上一篇
下一篇
联系我们

联系我们

181-3619-1160

在线咨询: QQ交谈

邮箱: 34331943@QQ.com

工作时间:周一至周五,9:00-17:30,节假日休息

关注微信
微信扫一扫关注我们

微信扫一扫关注我们

返回顶部
首页
找样品
产品
联系
搜索