
结构式
| 物竞编号 | 01tb |
|---|---|
| 分子式 | c11h13n3o |
| 分子量 | 203.24 |
| 标签 |
1,5-二甲基-2-基-4-氨基-3-吡唑酮, 4-氨基-1,2-二氢-1,5-二甲基-2-基-3h-吡唑-3-酮, 4-氨基-2,3-二甲基-1-基代吡唑啉酮-[5], 4-氨基安替比林结晶, 4-氨基安替吡啉, 4-氨基安替比林, 1,5-dimethyl-2-phenyl-4-aminopyrazoline, 4-amino-2,3-dimethyl-1-phenyl-3-pyrazolin-5-one, ampyrone |
编号系统
cas号:83-07-8
mdl号:mfcd00003145
einecs号:201-452-3
rtecs号:cd2480000
brn号:181635
pubchem号:24890855
物性数据
1. 性状:淡黄色结晶
2. 密度(g/ml,25/4℃):0.8
3. 相对蒸汽密度(g/ml,空气=1):不确定
4. 熔点(ºc):109
5. 沸点(ºc,常压):不确定
6. 沸点(ºc,5.2kpa):不确定
7. 折射率:不确定
8. 闪点(ºc):不确定
9. 比旋光度(º):不确定
10. 自燃点或引燃温度(ºc):不确定
11. 蒸气压(kpa,25ºc):不确定
12. 饱和蒸气压(kpa,60ºc):不确定
13. 燃烧热(kj/mol):不确定
14. 临界温度(ºc):不确定
15. 临界压力(kpa):不确定
16. 油水(辛醇/水)分配系数的对数值:不确定
17. 爆炸上限(%,v/v):不确定
18. 爆炸下限(%,v/v):不确定
19. 溶解性:溶于水、和乙醇,微溶于
毒理学数据
1、急性毒性:
大鼠口径ld50:1700 mg/kg;大鼠腹腔ld50:1200 mg/kg
小鼠口径lc50:800 mg/kg;小鼠腹腔lc50:270 mg/kg
2、致畸性
大肠杆菌:312 ug/well;沙门氏菌:5 umol/plate
生态学数据
暂无
分子结构数据
1、 摩尔折射率:58.10
2、 摩尔体积(cm3/mol):168.3
3、 等张比容(90.2k):442.1
4、 表面张力(dyne/cm):47.5
5、 极化率(10-24cm3):23.03
计算化学数据
1、 疏水参数计算参考值(xlogp):0.1
2、 氢键供体数量:1
3、 氢键受体数量:3
4、 可旋转化学键数量:1
5、 互变异构体数量:2
6、 拓扑分子极性表面积(tpsa):49.6
7、 重原子数量: 15
8、 表面电荷:0
9、 复杂度:305
10、 同位素原子数量:0
11、 确定原子立构中心数量:0
12、 不确定原子立构中心数量:0
13、 确定化学键立构中心数量:0
14、 不确定化学键立构中心数量:0
15、 共价键单元数量:1
性质与稳定性
1.在碱性条件及氧化剂存在下,与酚类化合物反应生成红色染料。
2.口服有害,对眼睛、呼吸系统及皮肤有刺激性。
贮存方法
充氩气密封阴凉干燥避光保存。
合成方法
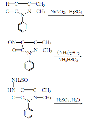
1.安替比林经亚硝酸钠亚硝化,经亚氢铵与亚铵还原,经水解,后用液氨中和,得到4-氨基安替比林。工艺过程如下:安替比林与50%配成溶液,其中含安替比林38%-40%、含11%-12%。将此溶液与亚硝酸钠溶液同时流入亚硝化反应器,控制两者的流量,控制反应温度45-50℃,搅拌下反应,并用碘粉淀粉试纸测反应终点以调节水流量。亚硝化生成的亚硝基安替比林立即流入还原罐,与罐内配好的还原剂亚氢铵与亚铵的水溶液反应。取样测ph值及还原度,ph值在5.4-5.8之间,还原度约为15(即1ml还原液消耗0.1n碘液的毫升数)。还原结束后,ph值调节至5.8-6.0,还原度为5左右。升温至100℃,水解3h。降温至80℃,用液氨中和至ph7-7.5,静置分层。分去废水,得4-氨基安替比林油(含量80%以上)。将其压入结晶罐,搅拌、冷却结晶、过滤,得4-氨基安替比林。
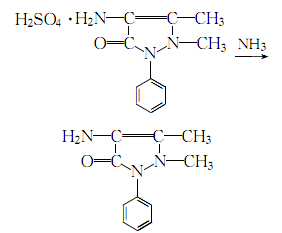
2. 安替吡啉经亚硝化,再经亚氢铵和亚铵还原、水解,后用液氨中和可得4-氨基安替吡啉。


用途
1.用以测定醇和酚及胺和其同系物。色谱测定烷基酚。
2.用作光度法测定酚、醇、胺类有机物的显色剂。并用作极谱法测定酚类化合物的试剂。
扩展阅读https://www.newtopchem.com/archives/177扩展阅读https://www.bdmaee.net/wp-content/uploads/2022/08/20.jpg扩展阅读https://www.bdmaee.net/wp-content/uploads/2022/08/134-4.jpg扩展阅读https://www.cyclohexylamine.net/lupragen-n203-teda-l33e/扩展阅读https://www.cyclohexylamine.net/dabco-mp601-delayed-equilibrium-catalyst/扩展阅读https://www.newtopchem.com/archives/40086扩展阅读https://www.cyclohexylamine.net/category/product/page/35/扩展阅读https://www.bdmaee.net/wp-content/uploads/2021/05/1-3.jpg扩展阅读https://www.newtopchem.com/archives/979扩展阅读https://www.newtopchem.com/archives/1598



微信扫一扫打赏
支付宝扫一扫打赏
