溴酚蓝 bromophenol blue

广告位

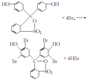
溴酚蓝结构式

结构式

物竞编号 037y
分子式 c19h10br4o5s
分子量 669.96
标签

四溴酚磺酞,

四溴酚磺酰酞,

四溴酚磺酚酞,

3',3'',5',5''-tetrabromophenolsulfonephthalein,

指示剂

编号系统

cas号:115-39-9

mdl号:mfcd00005875

einecs号:204-086-2

rtecs号:sj7453000

brn号:61698

pubchem号:24891504

物性数据

 1.       性状:浅黄色至棕黄色粉末。

2.       密度(g/ml,25/4℃):未确定

3.       相对蒸汽密度(g/ml,空气=1):未确定

4.       熔点(ºc):279℃(分解)。

5.       沸点(ºc,常压):未确定

6.       沸点(ºc,5.2kpa):未确定

7.       折射率:未确定

8.       闪点(ºc): 未确定

9.       比旋光度(º):未确定

10.    自燃点或引燃温度(ºc):未确定

11.    蒸气压(kpa,25ºc):未确定

12.    饱和蒸气压(kpa,60ºc):未确定

13.    燃烧热(kj/mol):未确定

14.    临界温度(ºc):未确定

15.    临界压力(kpa):未确定

16.    油水(辛醇/水)分配系数的对数值:未确定

17.    爆炸上限(%,v/v):未确定

18.    爆炸下限(%,v/v):未确定

19.    溶解性:易溶于氢氧化钠溶液,溶于甲醇、乙醇和,微溶于水(约0.4g/100ml).其钠盐溶于水。

 

 

毒理学数据

暂无

生态学数据

对水体没有危害。

分子结构数据

 

1、   摩尔折射率:123.26

2、   摩尔体积(cm3/mol):304.5

3、   等张比容(90.2k):893.7

4、   表面张力(dyne/cm):74.1

5、   极化率(10-24cm3):48.86

计算化学数据

1.疏水参数计算参考值(xlogp):无

2.氢键供体数量:2

3.氢键受体数量:5

4.可旋转化学键数量:2

5.互变异构体数量:3

6.拓扑分子极性表面积92.2

7.重原子数量:29

8.表面电荷:0

9.复杂度:662

10.同位素原子数量:0

11.确定原子立构中心数量:0

12.不确定原子立构中心数量:0

13.确定化学键立构中心数量:0

14.不确定化学键立构中心数量:0

15.共价键单元数量:1

性质与稳定性

避免与强氧化物接触。

贮存方法

1.储存于阴凉、通风的库房。远离火种、热源。

2.应与氧化剂等分开存放,切忌混储。

3.配备相应品种和数量的消防器材。

4.储区应备有泄漏应急处理设备和合适的收容材料。

合成方法

1.将酚红溶于冰,搅拌下加入溴溶于冰的溶液,搅拌几分钟后倾入60℃热水中,冷却至室温,放置过夜。过滤,依次用冰、洗涤滤饼,晾干,得溴酚蓝。2.将酚红溶于冰中,加热至沸,滴加溴溶于冰中的溶液,黄色固体析出时,过滤,用洗去游离溴,置于空气中干燥后即得粗品。用冰或丙酮与冰混合溶剂重结晶,得纯品溴酚蓝。3.将酚红和溴分别溶于醋酸中,制成溶液。先将酚红醋酸溶液加热至沸,然后在搅拌下缓慢加入溴的醋酸溶液:当酚红反应完全且黄色晶体不再析出后,冷却,过滤。用少量醋酸洗去结晶中的游离溴后,用醋酸或丙酮  醋酸进行重结晶,在空气中干燥得纯品溴酚蓝。

用途

1.用作酸碱指示剂,ph变色范围3.0(黄色)~4.6(紫色)。还可作为吸附指示剂。

2.还用作薄层色谱法测定脂族羧酸、糖醇和含氯农药的试剂,光度法测定季铵阳离子的萃取分离剂。

广告位
本文来自网络,不代表吗啉_甲基吗啉_吗啉信息网立场,转载请注明出处:https://www.morpholine.vip/26898.html

作者: admin

上一篇
下一篇
联系我们

联系我们

181-3619-1160

在线咨询: QQ交谈

邮箱: 34331943@QQ.com

工作时间:周一至周五,9:00-17:30,节假日休息

关注微信
微信扫一扫关注我们

微信扫一扫关注我们

返回顶部
首页
找样品
产品
联系
搜索