
结构式
| 物竞编号 | 037z |
|---|---|
| 分子式 | c21h16br2o5s |
| 分子量 | 540.22 |
| 标签 |
二溴邻甲酚磺酞, 二溴邻甲酚磺酰酞, 二溴邻甲酚磺酜酞, 5,5'-dibromo-o-cresolsulfonphthalein, bromcresol purple sultone form, 指示剂 |
编号系统
cas号:115-40-2
mdl号:mfcd00011681
einecs号:204-087-8
rtecs号:暂无
brn号:359618
pubchem号:24847168
物性数据
1. 性状:微黄色细小结晶。
2. 密度(g/ml,25/4℃):未确定
3. 相对蒸汽密度(g/ml,空气=1):未确定
4. 熔点(ºc): 241~242
5. 沸点(ºc,常压):未确定
6. 沸点(ºc,5.2kpa):未确定
7. 折射率:未确定
8. 闪点(ºc): 未确定
9. 比旋光度(º):未确定
10. 自燃点或引燃温度(ºc):未确定
11. 蒸气压(kpa,25ºc):未确定
12. 饱和蒸气压(kpa,60ºc):未确定
13. 燃烧热(kj/mol):未确定
14. 临界温度(ºc):未确定
15. 临界压力(kpa):未确定
16. 油水(辛醇/水)分配系数的对数值:未确定
17. 爆炸上限(%,v/v):未确定
18. 爆炸下限(%,v/v):未确定
19. 溶解性:溶于乙醇和稀碱溶液。几乎不溶于水。
毒理学数据
暂无
生态学数据
对水体没有危害。
分子结构数据
1、 摩尔折射率:117.07
2、 摩尔体积(cm3/mol):304.7
3、 等张比容(90.2k):868.0
4、 表面张力(dyne/cm):65.8
5、 极化率(10-24cm3):46.41
计算化学数据
1.疏水参数计算参考值(xlogp):无
2.氢键供体数量:2
3.氢键受体数量:5
4.可旋转化学键数量:2
5.互变异构体数量:5
6.拓扑分子极性表面积92.2
7.重原子数量:29
8.表面电荷:0
9.复杂度:680
10.同位素原子数量:0
11.确定原子立构中心数量:0
12.不确定原子立构中心数量:0
13.确定化学键立构中心数量:0
14.不确定化学键立构中心数量:0
15.共价键单元数量:1
性质与稳定性
1.避免与强氧化物接触。
2.溶于乙醇及稀碱溶液,乙醇溶液呈绿色。与二元羟酸反应显黄色。与季铵阳离子生成离子缔合物,可用有机溶剂萃取。
贮存方法
1.储存于阴凉、通风的库房。远离火种、热源。应与氧化剂等分开存放,切忌混储。
2.配备相应品种和数量的消防器材。
3.储区应备有泄漏应急处理设备和合适的收容材料。
合成方法
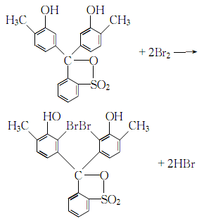
1.将邻胺溶于稀,冷却,搅拌下加入亚硝酸钠溶液,反应温度控制在5℃以下。反应毕,加热至40-50℃直至无气泡发生,冷却过滤,将邻甲酚分馏精制。邻甲酚和邻磺酸酐、氯仿锌混匀,搅拌加热,在115-120℃反应7h,通蒸汽除去剩余的邻甲酚,过滤得邻甲酚红:邻甲酚红经精制后溶于冰醋酸,在搅拌下加入溴与冰醋酸的混合溶液,加完后,在40-50℃加热4h,冷却过滤即得溴甲酚紫。
2.将试剂酚红和溴素分别溶于醋酸,制成溶液,然后将溴的醋酸溶液在搅拌下加到酚红的醋酸溶液中:

在40~50℃下连续搅拌4h以上,停止加热,冷却后过滤,结晶用洗涤后抽干,干燥后即为溴甲酚紫。
用途
1.酸碱指示剂,颜色变化由浅黄色至紫红色,变色范围的ph值为5.2-6.8.用作薄层色谱法检测二元羟酸和卤素离子 ( 氟除外)的试剂。还用作光度法测定季铵阳离子的萃取剂。



微信扫一扫打赏
支付宝扫一扫打赏
